什么是高中物理?
很多同学初中时很喜欢物理,觉得物理很简单也很有意思。但一到高中就感觉跟不上了,感觉跟自己以前认识的物理不是一个东西,不再那么直观,也不再那么简单有趣。
于是,在一些可以自由选择高考科目的地方,大量考生纷纷放弃物理,“弃考物理”曾一度成为热门话题而引发全国关注。

但是,物理学作为自然科学的基础学科,研究大至宇宙,小至基本粒子等一切物质最基本的运动形式和规律。要铸大国重器,少了物理怎么行?要是都不学物理,那不用三体人,自己就把自己的科技树锁死了。
于是,许多地方改变了高考策略,改为理科生必选物理。
这种改变在长尾君看来无可厚非,理科生要是不学物理,那还叫啥子理科生?但是,追根溯源,我们还是得问:为什么很多原本喜欢物理的人,一到高中就不喜欢物理了?仿佛一到高中,物理就变得又难又无趣,跟初中物理不是一个物种似的。
其实,物理一直都是很美并且很有趣的。
但是,高中物理和初中物理的确有点不一样。如果不能及时认识到这点,还一直用初中物理的思维学习高中物理,那肯定会各种不适应,觉得物理又难又无趣,那就不好玩了。
在这篇文章里,长尾君就来跟大家好好聊一聊,一起看看高中物理跟初中物理到底有什么区别?看看如何理清高中物理框架,如何建立清晰的物理图像。

如果你初中刚毕业,希望你能迅速调整自己的思维;如果已经高二高三,希望这个对你重新理解物理,对你复习备考有帮助;如果还是初中生、小学生,打个预防针也不错~
01从定性到定量
高中物理和初中物理有一个非常大的不同:很多物理问题在初中只要你做定性的分析,到了高中就要你做定量的计算。
从定性分析到定量计算是一步非常大的跨越。
在初中,我们只需要定性地分析那些热学、光学、力学、电磁学的现象。
分析水为什么会变成冰和水蒸气?为什么会听到回声?为什么苹果往下落,水往低处流?为什么磁铁会同性相斥、异性相吸?为什么筷子在水里会折断?

这种定性分析跟日常生活联系得非常紧密。我们每学一点物理知识,就仿佛揭开了大自然某处的面纱,好奇心和求知欲在这个过程中得到了极大的满足。
这种初见物理的朦胧美,一如初见的恋人。人生若只如初见,那谁都可以跟物理谈恋爱。
恋爱期间我们可以靠对电、磁、力、热、光等领域的新鲜感来维持关系;婚后就要靠对柴米油盐酱醋茶、房贷、车贷精打细算来维系生活。

于是,进入高中,我们就要对力学、电磁学等领域进行精确的定量计算。
初中我们只要知道为什么苹果会往下落;高中就要能算出苹果1秒钟下落了多高,2秒后的速度是多少。
初中我们只要知道电荷同性相斥,异性相吸;高中我们就要知道两个电荷相距1米,它们的吸引力和排斥力到底有多大。
初中我们只要知道电荷在电场中会加速运动;高中我们就要算出电荷的运动的具体轨迹。
这样,大家明白从初中物理到高中物理到底发生什么了么?
是的,从恋人变成了夫妻。话题从以前的梦想环游世界,变成了计算下个月的房贷、车贷有多少,计算年终奖发多少可以去欧洲旅游。
现在你知道为什么很多人初中喜欢物理,到了高中就突然不喜欢物理了吧?没错,跟很多人想一直谈恋爱不想结婚一个道理~
但是,物理学是研究一切物质的运动形式和规律的学科,我们当然不能只满足于对物理现象做一些定性分析。
我们从自然界总结出了各种物理定律,再利用这些定律去改造自然。这可是一丁点差错都不能有的,必须进行精确的定量计算。

那么,做定量计算就不简单也不美了么?
如果我们可以算出每个物体的运动情况,对宇宙中所有物体的运动规律都了如指掌。这种开了上帝视角,这种宇宙万物尽在我心中的感觉,绝不是那种初见的朦胧感能比的。
如果你把物理图像都看清楚了,把物理框架建起来了,你会发现高中物理的定量计算其实一点也不难(我以前在小号写过一篇《如何引导初中生做定量的物理计算?|长尾谈话录》,感兴趣的可以先看看)。
好,接下来,我们就回到物理学的起点,再重新认识一次物理。
02为什么会运动?
宇宙万物都在运动和变化之中,物理学就是要研究它们的运动变化规律,研究它们为什么会运动,怎样运动?
我们能看见物体,是因为光子跑到眼睛里来了;我们能听见声音,是因为声波通过空气传入了耳朵;我们能接听电话,是因为有电磁波在给我们传递信息;至于苹果熟了会下落,推下椅子,椅子就会动就更不用说了。
如果没有运动,世界将是一片死寂,那也没物理学啥事了。
既然运动是如此的普遍和显然,那物体为什么会运动呢?
咋一看,这个问题好像很好笑,但仔细一想,你会发现它远没有想象的那么简单和理所当然。
为什么苹果往下落,热气球却往天上飞?我推一下椅子,椅子就往前走,一松手椅子就停了,难道有外力物体才会动?一个铁球比一根羽毛落得更快,是因为铁球更重一些么?

这些问题是如此的平常,但回答起来却异常的困难。古希腊时期很多自然哲学家都思考过这些问题,但答案都不太令人满意。
比如你想,我推椅子,椅子就动了。这个好理解,通过接触传递力也很容易接受。
但是,苹果下落时,并没有东西跟它接触啊,为什么它还会运动呢?热气球上升时,也没有东西跟它接触,为什么它也跟着运动?
而且,为什么苹果往下运动,热气球却往上运动呢?难道说重物都往下落,轻物都往天上飞?
这里,肯定有些同学想说:苹果下落是因为受到了向下的引力,热气球上浮是因为受到了向上的浮力。
很多家长在回答孩子的问题时,也喜欢直接这样甩答案。这答案虽然没错,但它过于从天而降。孩子们通过这种答案只能获得一个零碎的知识点,无法了解背后的知识体系,也无法体会科学是如何建立起来的。
古希腊人对自然界进行了细致地分析和深入的哲学思考,最后形成了一套自洽的自然哲学体系。
在这个过程中,出力最多、处于核心地位的是亚里士多德,我们姑且把这一整套看待世界的观点称为亚里士多德世界观。

这套观点认为,地球是宇宙的中心,日月星辰都围着地球转。
地球上的物质由水、火、土、气四种基本元素组成。土元素天然会向宇宙中心运动(所以石头会掉下来),水元素也天然向宇宙中心运动,但这一趋势比土元素弱(所以水也会往下运动,但在土的上面),气元素天然向水和土以上运动(所以水里的气泡会往上面冒),火元素有一种天然远离宇宙中心的趋势(所以火在空气中向上燃烧)。
一个物体如果趋于静止,要么是组成这个物体的元素已经达到了它在宇宙中的自然位置(比如水和土到了地球中心),要么是被其他东西(如地球表面)挡住了。
一个静止的物体会一直保持静止,除非它有其它的运动来源(要么是自己趋于宇宙自然位置的运动,要么是外界给了力,比如我推桌子)。
其它观点我就不一一列举了,大家看了之后有什么感想?
你有没有感觉,虽然这些观点在今天看起来很“幼稚”,但它却是一套自洽的体系。它能把自己的话圆回来,不会自相矛盾;它也能解释为什么物体会运动,能比较好的解释古人看到的各种现象。
甚至,对小孩子来说,这一套更符合“常识”,更容易被理解和接受。
但是,这并不是科学,而是自然哲学,真正的科学此时还没有诞生。亚里士多德世界观还要统治欧洲近两千年,一直到伽利略的出现。
03伽利略的发现
伽利略认为,我们不能只对运动做定性的分析,还要做定量的计算。
我们应该用数学定量地描述物体的运动,再用实验去验证,而不再讨论诸如物体的目的、本性这种形而上,无法量化的东西。
这就意味着,伽利略放弃了古希腊以来的自然哲学传统,正式创立了以数学和实验为根基,以“描述自然现象”为任务,而不是尝试去“解释自然现象本质”的现代科学。

重物会下落,那我就看看它是怎么下落的,第1秒下落了多高,第2秒下落了多高,找找规律。
你说物体越重下落得越快,那我就来做实验,看看一个重铁球和一个轻铁球是不是如此。
你说所有的物体达到它的自然位置之后就会趋于静止,那我就来做实验看看到底是不是这么回事。
做了一堆实验之后,伽利略大惊失色,他发现事情根本不是原来想的那样。感觉靠不住,我们得用实验说话。
首先,伽利略从一系列斜坡实验中发现:一个物体是否运动,跟它有没有受力没有直接关系,运动不需要外力来维持。
他设计了一个光滑的斜坡,发现不管我从左边多高的地方放下小球,小球基本上都能回到右边相同高度的地方。

进一步,我们减小右边的坡度,让右边越来越平。那么,为了回到同样的高度,小球就得运动更远的距离。

最后,我把右边的斜坡完全放平,那右边就变成了一个平面,高度永远不变了。这样,无论小球运动多久,运动多远,都不可能再回到左边的高度。
永远回不到左边高度的意思是:小球会一直匀速直线运动下去(假设地面绝对光滑)。
这就像在溜冰场,地面越光滑,你就能一次性滑得越远。如果地面绝对光滑,你就会永远停不下来,直到碰到其它障碍物。

通过这个实验,伽利略发现运动本身并不需要力来维持,物体不受任何外力作用时也能保持匀速直线运动的状态。
那么,力的作用到底是什么呢?我用力推椅子,椅子的状态确实改变了,也确实好像是我用的力气越大,椅子的速度就越大。
伽利略针对这些问题做了进一步研究,最后发现:力不是维持物体运动的原因,而是改变物体运动状态的原因。
也就是说,维持物体的运动不需要力,但改变物体的运动就需要力了,力还是非常有用的。
小钢球在绝对光滑的地面上能一直匀速直线运动,速度的大小和方向都不变。但如果我用力推小球,小球的速度就会改变。
伽利略的工作非常重要,他不仅开创了现代意义上的科学,指明了科学研究的基本方法。也身体力行,发现了大量物体运动的基本规律,给后人指明了方向。
04牛顿力学
接下来,牛顿就在这些工作的基础上,建立了一整套描述物体运动的理论。这就是大名鼎鼎的牛顿力学,也是高中物理的核心。

牛顿力学有三大运动定律,理解了伽利略的发现,你就会觉得这些定律非常自然。然后你会发现:通过这些定律,我们竟然真的可以描述物体的各种运动。
所谓定律,就是科学家通过做各种实验,从实验现象里总结出来的规律,它的正确性由实验保证。定律是无法通过数学公式“推导”或者“证明”出来的,那些证明出来的叫定理。
数学家会预设一些最基本的公理(比如欧式几何的5条几何公理),然后从这些公理出发,通过逻辑演绎证明各种定理,构建起一座座坚固的数学大厦。
因为数学并不用对现实世界负责,所以公理的选择具有很大的任意性。你可以选这几条作为公理,推出一套数学体系;也可以选那几条作为公理,推出另一套数学体系。
只要体系内部不自相矛盾,两者都可以。就像欧式几何和非欧几何虽然在第五公设针锋相对,但它们却可以和谐共存。

但是,物理学是要对现实世界负责的,所以根基不能随便选。它一定要符合实验,符合从自然界观测的结果。
而定律就是从各种实验现象里总结出来的规律。因此,有些物理学家就以定律为根基,建立了一套理论体系,比如牛顿力学。
还有一些物理学家以原理为根基建立了理论体系,比如爱因斯坦的相对论。甚至,整个物理学都可以从最小作用量原理导出来。
原理并不是从某个具体实验总结出来的具体定律,而是大家从大量物理规律中总结出来的一些普遍成立的东西。这些原理对物理定律的形式有非常严格的限制,成了“管定律的定律”。
这样说,大家就明白牛顿的三大运动定律是什么地位了吧?它们是牛顿力学的根基,决定了牛顿力学的基本骨架。
下面,我们就来看看这三大定律到底都说了什么。
05牛顿第一定律
牛顿第一定律:物体在不受力,或者受到的合外力为0时,它将保持静止或者匀速直线运动(即速度的大小和方向都不变)。
牛顿第一定律也叫惯性定律,它告诉我们“运动并不需要力来维持”。如果物体受到的合外力为0,那它之前是什么速度,后面就依然是什么速度。
为什么它还有一个名字“惯性定律”呢?惯性在英文里跟惰性是同义词,就是懒的意思。

所以,惯性定律就是说所有的物体都很“懒”,像懒猪一样,都不愿意主动改变自己的运动状态。
如果我现在没动,那就打死不动,除非你用力推我;如果我现在有一个速度,那就一直以这个速度无脑前进,除非有力拦着我。
喜欢科幻电影的朋友肯定对这个画面不陌生:一个宇航员不小心弄断了连接飞船的绳子,然后大家就只能眼睁睁地看着这个宇航员以这个速度飘向太空深处。

因为太空中没有其它外力拦住他,所以他就只能遵守惯性定律“懒”下去,一直以这个速度飘走(虽然他是如此的不愿意)。
这也说明,没有力,宇航员照样可以运动,力的确不是维持物体运动的原因。
那么,力的作用到底是什么呢?伽利略在后半句里说了:力是改变物体运动状态的原因。
也就是说,虽然运动本身不需要力来维持,但是,如果你想改变运动状态,比如宇航员不想飘向太空深处,想回到飞船,这就需要一个外力来拉一把。
好,知道力可以改变物体的运动状态之后,我给你一定的力,你的速度能改变多少呢?
想要把这个账定量地算清楚,我们就需要牛顿第二定律。
06牛顿第二定律
怎么算呢?
首先,既然力可以改变物体的速度,那我们首先就得找一个物理量来描述物体速度的变化。比如,汽车现在的速度是2m/s,1秒后变成了4m/s,那它的速度就在1秒钟之内变化了4-2=2m/s。
为什么汽车的速度会变化呢?
当然是发动机的牵引力让汽车的速度发生了改变,换成马车就是马的拉力让车的速度改变了。既然速度发生了改变,那肯定就有什么力作用在它身上。
那么,力的大小跟速度的变化有什么关系呢?是力越大,速度的变化就越大么?
咋一看好像没问题。我用两匹马拉车,1秒内可以让马车加速2m/s;如果有四匹马,或许1秒内就能让马车加速4m/s。
但是,就算我只有一匹马,如果时间给够,比如60秒,那马车完全有可能增加更多的速度。
所以,光比速度的变化量是不公平的,我们还要限定时间:在一定的时间内(比如1秒钟)让物体的速度变化越大(也就是速度变化得越快),才能说明受到的力越大。
因此,我们有理由相信:合外力越大,物体的速度变化得越快。而单位时间内物体速度的变化量,正是加速度的定义。
也就是说,我们用加速度这个物理量来描述物体速度变化快慢的程度。
如果物体的速度不变,那它的加速度等于0;如果物体的速度在1秒内从2m/s增加到了4m/s,那它的加速度就是2m/s²;如果物体的速度在2秒内从1m/s增加到了7m/s,那么它的加速度就应该是(7-1)/2=3m/s²。

好,现在我们知道了:物体受到的合外力越大,它的速度变化得越快,加速度越大。
那么,还有其它影响加速度的因素么?同样是一匹马,一个拉自行车,一个拉大卡车,你觉得它们的加速度会一样么?
很显然,物体的加速度不仅跟合外力有关,还跟质量有关:质量越大,同等拉力下获得的加速度越小,反之越大。
有这样的铺垫,牛顿第二定律就呼之欲出了。
牛顿第二定律:物体的加速度a跟物体受到的合外力F成正比,跟物体的质量m成反比,写成公式就是F=ma。

于是,我们就引出了牛顿力学里最重要的一个公式,整个高中物理都可以说是在学习F=ma在各种情况下的应用。
牛顿第二定律也让我们有了一个全新的视角来审视“质量”这个概念。
惯性定律不是说“万物都很懒”么?没有外力推,一个个都打死不改变自己的运动状态。
但是,虽然大家都很“懒”,但是“懒”也分三六九等。有的物体是轻微的懒,轻轻一推就改变了运动状态;有的是极品的懒,用八抬大轿都抬不动。
那么,如何判断一个物体是一丢丢懒,还是非常懒呢?答:根据质量。
因为牛顿第二定律告诉我们,一个物体的质量越大,同等外力下产生的加速度就越小,即运动状态变化得越慢,这不就是更懒的意思么?
所以,质量就成了一个衡量物体运动状态改变难易程度的物理量。质量越大,越胖,越不想动,想想好像真的好有道理。

从这个角度,大家再来感受一下牛顿第二定律F=ma:外力(F)想改变物体的运动状态(a),但质量(m)越大,物体越懒,越坚持自我,越难被外力(F)所改变。
所以,内心越强大,越难被外界的诱惑所改变;质量越巨大,越难被外力的压迫所改变~
最后,再顺带看一下牛顿第三定律。
牛顿第三定律:相互作用的两个物体作用力和反作用力大小相等,方向相反(牛顿的原话是“每一个作用都有一个相等的反作用”,并没有提到“力”。但因为我们在讨论牛顿力学,所以教材里就直接用作用力和反作用力来表述,方便理解)。
这很好理解,比如我用力推一下墙,就会感觉墙也用力推了一下我,这两个力大小相等,方向相反。
好,理解了牛顿的三大运动定律,就理解了牛顿力学的根基,然后就可以分析万物的运动情况了。
07物体如何运动?
宇宙万物到底是如何运动的?隐藏在运动背后的规律又是什么?之前有很多人回答过这些问题,但答案都不太令人满意。
现在,牛顿同学递交了他的答卷,一份令人非常满意的答卷。
答卷的主体就是牛顿三大运动定律,它的核心思想是:如果物体不受外力(或者合外力为0),它将一直保持原来的速度。如果合外力不为0,它的速度就会改变,即具有一定的加速度。想知道加速度到底是多少,就用牛顿第二定律F=ma去计算。
例如,为什么茶杯在桌子上静止不动?因为茶杯受到了一个向下的重力,和一个来自桌面的向上的支持力,这两个力大小相等方向相反。
因此,茶杯受到的合外力为0,所以茶杯就静止不动。

为什么我推一下椅子,椅子就动了呢?
因为我推椅子时,椅子在水平方向上受到了一个推力,合外力不为0。根据牛顿第二定律F=ma,这个合外力会让椅子产生一个加速度,于是椅子就动起来了。
为什么松手之后,椅子会慢慢停下来呢?
因为松手之后,推力没有了,椅子在水平方向上受到的合外力就只有来自地面的摩擦力(摩擦力一直都在,但之前比推力小)。摩擦力与椅子运动的方向相反,因此会产生一个让椅子减速的加速度,于是椅子就慢慢停了下来。
为什么苹果熟了会往下落呢?因为苹果没熟时,苹果受到了一个向下的重力和一个树枝向上的拉力,这两个力大小相等方向相反。所以,苹果受到的合外力为0,于是保持静止。
苹果熟了以后,树枝承受不了苹果的重量,就跟苹果分离了。于是,苹果受到的合外力就只有向下的重力。根据F=ma,苹果会有一个向下的加速度,因此苹果会加速往地面掉落。
为什么月亮会围着地球转呢?因为地球和月亮之间有一个万有引力,月亮受到的合外力就是这个引力。根据F=ma,月亮会有一个加速度,这个加速度不断改变速度的方向,让月亮围着地球转。
为什么电荷在电场中会运动呢?因为电荷在电场中会受到一个电场力,此时电荷受到的合外力就是这个电场力。根据F=ma,电荷会有一个加速度,于是电荷开始加速运动。
为什么会潮起潮落?因为月亮对海水有一个吸引力,这个吸引力会给海水提供一个加速度。当地球转动时,这个加速度也会跟着变化,于是……

这些例子我可以给你无限列举下去,但是你发现没有,我用来解释物体为何这样运动的“套路”都是一样的:都是先看物体受到了什么力,把合外力F找出来,再利用F=ma求出物体的加速度a,最后根据加速度分析物体的运动情况。
来来去去就这三板斧,一套组合拳包打天下,这就是牛顿力学。
08从运动到受力
所以,大家现在明白为什么牛顿第二定律F=ma这么重要了么?
因为这个公式的左边代表了物体的受力情况(合外力F),右边代表了物体的运动情况(加速度a),F=ma则把物体的受力情况和运动情况紧密地联系在了一起。
物理学要研究万事万物的运动情况,牛顿第二定律F=ma告诉你:小伙子,想知道物体是怎么运动的吗?那就去看看它受到了什么力吧。我传你一套祖传秘籍F=ma,只要你告诉我它受到了什么力,我就能告诉你它将如何运动。

有了牛顿第二定律的神助攻,我们研究万事万物如何运动的宏伟目标,就变成了研究万事万物都受到了什么力。
那么,世界上都有些什么力呢?面对各种各样的力,我们又要如何研究呢?
答案是:先分类,再各个击破。
我们先对所有的力逐一盘问:你导致物体的运动状态发生了这样的改变,你是什么力?
就像提着一袋垃圾走向分类垃圾桶时,经常也会收到的问候一样:你是什么垃圾?

然后,我们就坐在力的分类桶前面开始审查:你让苹果加速下落,是引力,去1号桶;你让月亮围着地球转,还是引力,也去1号桶;你让杯子无法穿透桌面掉下去,是支持力,本质上是电磁力,去2号桶;你让原子核里的质子、中子没有因为电磁斥力散架,是强力,去3号桶……
科学家就这样对各种运动现象逐一考察,找出它们背后的力,然后对这些力进行分类。
最后你猜结果怎么着?
最后,大家惊奇地发现:只要4个桶,不用成百上千,也不要十个八个,只要4个桶就能把人类迄今为止发现的所有力都装进去。
什么意思?意思就是我们对各种力进行分类,发现力的数量虽然多,但种类却很少,只有区区4种(不过科学家还是觉得多,他们巴不得只有1种才好),这4种力分别是:引力、电磁力、强力、弱力。
这就非常有意思了。
你看啊,牛顿第二定律告诉我们:如果你想研究物体的运动情况,就去分析它的受力情况。知道了受力情况,就能通过F=ma求出它的加速度,进而知道它的运动情况。
一开始看到这段话,很多人可能觉得这是在转移矛盾,觉得这无非就是把锅从运动情况甩到受力情况这边来了,并没有实质性地解决问题。

但是,我现在告诉你:虽然物体的运动情况很复杂,但决定物体运动的力,却只有屈指可数的4种。
这样,问题的性质就从根本上发生了变化:如果总共只有4种力,那我完全可以把它们一个个弄清楚啊,毕竟4个又不多。
深入研究4种力,回报是掌握一切物体的运动情况,这买卖,太值了!

当然,你可能会疑惑:真的只要4种力就能搞定一切?有那么便宜?我读书少,你不要骗我。
科普人不打诳语,不仅如此,我还有一个更好的消息:虽然我们说有4种力,即引力、电磁力、强力、弱力。但是,强力和弱力只在原子核级别才有显著作用,日常生活中一般感觉不到它们的存在,高中物理也不会讲。
于是,你在高中会碰到的所有力,就只有引力和电磁力两种。怎么样?4种变2种,有没有双十一五折大甩卖的感觉?
接下来,我们就来仔细看看这两种力,看看为什么说日常生活中只能感觉到引力和电磁力。
09什么是引力?
引力,又叫万有引力。
万有的意思很明显,就是说这种力是普遍存在的,任何两个有质量的物体之间都有这样一种力,谁也跑不掉(在牛顿力学里先这样理解,以后学了广义相对论,你会对引力有更加深刻的认识)。
这个意思很直白,就是说万物之间都会相互吸引。
你可能会疑惑:不会吧,万物之间都有吸引力?我和同学、课桌、教室之间也有?为什么从来没感觉到?
引力的确是万有的,别说跟你同学,就是跟看长尾公众号的手机,跟绣花针之间都引力。只不过这些力都太小,察觉不到。
为什么引力小呢?当然是因为质量小。你的体重在引力眼里不值一提,想感受引力,就得选个质量大的。
比如,你可以选择教学楼,你和一栋楼之间的引力就比两个人之间的大多了(想想教学楼的质量是你同学的多少倍)。不过,这个引力还是太小,依然感觉不到。
那再大一点,选择喜马拉雅山。很可惜,还是太小。

你可能要发飙了,我和这么大一座山之间的引力还小?你怕不是来忽悠我的吧。还嫌质量小,那我把整个地球选给你好不好?
好,那我就不客气地签收了!这次你选对了。
引力虽然是万有的,但是它非常微弱,我们需要地球这个级别的物体才能直观感受到它的存在。
地球和我们之间的引力深深影响着每个人的生活,它给了我们安全感,也给了我们恐惧。它让地球不会分崩离析,也俘获了月亮的心……
你可以想一想,为什么你每次跳起来之后都会落回地面?
你可能觉得这理所当然,或者从来就没想过,似乎“每个物体都会往下落”是天经地义的事情(就像亚里士多德说的“XX天然有向地球中心运动的趋势”一样)。
但是,你想想惯性定律,万物都是“懒”的,人也一样。
如果没有外力影响,物体会一直保持原来的运动状态。原来是静止的,后面就一直静止;原来有一个速度,后面就一直以这个速度匀速直线运动。
我们跳起来时,速度是指向天上的,跳起来后慢慢减速,到了最高点速度为0,然后开始反向加速下落。

整个过程中,速度的大小和方向都发生了明显的变化,这就表明跳跃时肯定受到了其它外力的影响,这个力让我们的速度发生了改变。
但是,我们跳起来后明明没有跟任何东西接触,那这能是什么力呢?答案是引力,是我们和地球之间的万有引力。
任何两个物体之间都有引力,地球和地面物体之间当然也是。你可以把地球想象成一个巨大的吸铁石,它对地面上的任何东西都有强大的吸引力,所以高处的物体总会往低处走。
于是,你跳起来,又被吸回来;苹果会被吸到地面,高处的水被吸到低处;你提着一袋东西觉得重,那是因为地球想把这袋东西吸过去,但你“死死拽着”不放,你在跟地球拔河;月亮一直围着地球转,也是因为被地球吸住了,想跑跑不掉……
这些,都是地球引力干的,它吸引着一切,感知极强。
因为我们生活在地球,从小就感受着来自地球的引力,所以早已见怪不怪。
但是,如果哪天你到了月球,因为月球的引力比地球小很多,你可能轻松一跳就是两层楼高;如果在外太空,可能轻轻一跳,就永远下不来了。
长尾君当年学习引力时,还解开了一个困惑我多年的谜题,内心倍感舒畅,这里也分享一下。
从小我就知道人类生活在地球表面,那问题就来了:我住在地球“上面”,头朝上,那住在地球另一面的人岂不是脚朝上?为什么他们没有掉下去?

直到学了万有引力,我才恍然大悟:原来大家都是被地球吸住的!
根本就没有什么绝对的上下,也不是上面的东西天生就要往下落,而是大家都被地球吸得往地心方向跑而已。
好,到这里,相信大家对引力就有一个概念了。
但这还远远不够,虽然我知道苹果下落、月亮围着地球转都是引力造成的,那引力具体是怎么影响它们的呢?
这个地球引力到底会使苹果以多大的加速度下落?1秒后苹果的速度是多大,2秒后会下落几米?它会使月亮以多大的周期围着地球转?
如果不把这些细节搞清楚,我们也不好意思说弄懂了它们的运动情况。
说白了,我们必须能定量算出两个物体间引力的大小,然后才能用牛顿第二定律F=ma算出具体的加速度,进而分析物体的运动细节。
10万有引力定律
引力的规律要如何找呢?
前面说了,引力非常微弱,地面物体之间的引力非常小。想通过观测它们来总结引力的规律,怕是行不通。
所以,我们把目光转向了天上。月亮围着地球转,地球和其它行星围着太阳转,一些大的行星(比如木星和土星)还有一堆卫星围着它们转,这些肉眼可见的天文现象可都是引力主导的啊。

于是我们夜观星象,把星体的运动轨迹都记录下来(一个叫第谷的人做得极好)。然后分析它们的运动轨迹,从中找出一些星体的运动规律(第谷的学生开普勒发现了行星运动的三大定律)。最后根据这些定律,利用数学和物理知识反推出让星体这样运动的力应该具有什么样的性质。
这一步,很多科学家都在走,但牛顿凭借他逆天的数学和物理才华(唯一一个同时稳居数学、物理Top3的人),第一个走出了迷宫,给出了描述引力的精确定律,并用它成功解释了当时一切跟引力相关的运动现象。
这一仗,牛顿大获成功,这个能精确描述引力的定律,被称为万有引力定律。
牛顿是如何得到这个定律的,这里不细说。我们先来直观地感受一下,来猜一猜这个定律应该长什么样。毕竟它号称能精确描述万有引力,我们看看它的描述跟我们的直观感受是否冲突。
大家知道,任何两个物体之间都有引力,而且质量越大,引力越大。
那么,引力就只跟质量有关么?太阳的质量比地球大得多,为什么我们没有被太阳吸走?答案当然是:因为地球距离我们更近。
所谓强龙压不过地头蛇,我的地盘我做主,任何势力都有他的范围,引力亦然。所以,除了质量,引力还应该跟距离有关。
而且,容易想象,引力跟质量、距离的关系,一定是质量越大,引力越大;距离越大,引力越小。
这不是什么问题,真正的问题是:它们之间定量的关系到底是怎样的?我把质量增大到原来的2倍,引力会增大多少?把距离扩大为原来的2倍,引力又会减小多少?
只有把这个关系搞清楚了,才能精确地计算引力,才算搞定了引力。

先来看引力和质量的关系。
假设有两个1kg的铁球,它们之间有一定的引力。那么,如果其中一个铁球的质量从1kg增加为2kg,你觉得引力会变成多少?是原来的2倍(1×2),3倍(1+2),还是其它什么的?
理论上来说,应该是2倍,也就是说质量之间应该是乘法关系。
因为我可以把2kg的铁球看成两个1kg的铁球,那每个1kg铁球的引力就和原来的一样,新的引力自然就是原来的2倍。
所以,两个物体之间的引力F应该和这两个物体的质量m1、m2的乘积成正比。其中任何一个物体的质量增加为原来的多少倍,它们之间的引力就增加为原来的多少倍。
引力和质量的关系好说,真正困难的是和距离的关系。
假设两个小球相距1米,现在它们之间的距离扩大为2米。那么,它们之间的引力会减小为原来的多少呢?是原来的1/2,1/4,还是1/8什么的?
有人说你可以去做实验啊,看看把两个小球之间的距离增加一倍以后,它们之间的引力会缩小为原来的几分之一。
但是,引力的实验不好做啊。
因为引力非常微弱,地面上两个物体之间的引力很难测量。而且,引力是万有的,我们很难屏蔽其它物体对实验的影响。
引力有显著作用的地方,还是在天上。开普勒就是从星体运动的轨道数据里发现了行星运动三大定律,牛顿从这里打开了思路,最终发现(其实胡克、哈雷等人也发现了)引力跟距离的平方成反比。
也就是说,如果两个物体之间的距离变为原来的2倍,它们之间的引力就减小为原来的1/4;距离变为3倍,引力就减小为原来的1/9。
其实,平方反比定律在自然界非常常见。
大家想想圆的周长公式C=2πr,周长跟半径(即半径的1次方)成正比。圆的面积公式S=πr²,球体的表面积公式S=4πr²,面积跟半径的平方(2次方)成正比。圆球的体积公式V=4πr³/3,体积跟半径的立方(3次方)成正比。
发现没有,1维的周长跟半径的1次方成正比,2维的面积跟半径的2次方成正比,3维的体积跟半径的3次方成正比。
而我们现实世界是3维的。这就意味着,如果有个东西爆炸了,它释放出来的能量波就会以球面的形式向外扩展。
比如,某个爆炸产生的冲击波1秒钟传播1千米,那么,2秒后这个冲击波就会向空间各方向传播2千米,组成一个半径为2千米的2维球面。

球的表面积公式是S=4πr²,于是,我们可以粗略的认为:爆炸源的能量每时每刻都被平均分给了4πr²个部分,它跟半径r的平方有关。
这就是各种平方反比定律更深层次的来源。
同样,如果我们的空间是4维的,你就会看到各种立方(3次方)反比定律,这也是科学家们检验是否存在高维空间的一种办法。
好,理解了这些,引力跟距离的平方成反比就非常正常了。
于是,我们就知道了:两个物体之间的引力F跟两个物体的质量m1、m2成正比,跟它们之间距离r的平方成反比。
写成公式就是:

这就是大名鼎鼎的万有引力定律,是牛顿力学里描述引力的东西。
图中F表示引力,因为引力是相互的,你吸引我,我也吸引你。而且这种吸引大小相等、方向相反,图里就用F1、F2分别表示。
因为质量越大,引力越大,所以分子就是两个物体质量m1和m2的乘积。因为空间是3维的,所以引力的大小跟距离的平方成反比,于是分母是r²。最外面的G是万有引力常数,数值大概是6.67×10^-11N·m²/kg²。
有了这个公式,理论上,只要我们知道两个物体的质量和它们之间的距离,就能算出引力。知道了引力F,根据牛顿第二定律F=ma就能求出物体的加速度a,进而知道物体的运动情况。
于是,一个完美的引力闭环就形成了。
我们终于可以同时掌握上游的引力计算,中游的引力转加速度以及下游的加速度分析运动了。
既然任督二脉已经打通,内循环也转了起来,要不,我们用牛刀杀一只鸡试试?
11下落的苹果
很多人在听万有引力故事时,都会听到牛顿被苹果砸到的事。这里我们不讨论故事的真伪,就单纯地分析一下苹果下落这个过程。

苹果为什么会下落?当然是因为受到了地球的引力,它是被地球“吸”向地心的。到了这里,相信大家对这个已经没啥异议了。
跟以前不同的是,我们现在已经知道了万有引力定律。
我们不仅知道苹果下落是由地球引力造成的,还能把这个引力的大小算出来。求出引力后,秉着“力是改变物体运动状(速度)”的想法,用牛顿第二定律F=ma把苹果下落的加速度a算出来,再根据加速度分析苹果的下落情况。
简单来说就是三步走:第一,找到让苹果下落的力(这里就是地球和苹果之间的引力,用万有引力定律来求);第二,找到合外力后,用牛顿第二定律F=ma求苹果的加速度a;第三,利用加速度分析苹果下落的运动情况。
整个思路是如此的简单而清晰,我们一步步走。
第一步,找到苹果和地球之间的引力,这当然要求助于刚刚发现的万有引力定律:

从定律的形式来看,想知道苹果和地球之间的引力,就必须知道苹果的质量、地球的质量以及苹果与地球之间的距离r(G是个常数,不用管它),我们分别来看一看。
苹果的质量好说,你的苹果是半斤还是六两,称一称就知道了。不过,我们这里并不限定苹果的质量,大小随你挑,因为你很快就会发现苹果的下落情况跟苹果的质量压根没有关系。
这是一个让人非常吃惊的“巧合”,爱因斯坦就从这里撕开了通向广义相对论的一个口子。
小时候我们学过一篇《两个铁球同时着地》,说的也是这个事。同时放下一轻一重两个铁球,大家原以为重铁球会先着地,轻铁球后着地,结果发现它们居然是同时着地的。

所以,苹果的质量,我们先记作m就好了。
地球的质量也是一个固定的数值,可以去查。因为地球的质量比较大,我们暂且记为大写的M。
那么,剩下的就只有苹果和地球之间的距离r了。
这个距离要怎么算呢?假设一个苹果从3米高的树上掉落,那苹果和地球的距离是多少呢?是3米,还是地球的半径加上3米?

如果两个物体都很小(相对它们的距离很小,可以当作质点),那它们的距离就是这两点连线的长度,这个好理解。
但是,如果物体很大,大到不能当作一个质点呢?
比如地球,地球上每一块土壤对苹果都有吸引力,地球作为一个整体对苹果的吸引力应该是地球上所有物质对苹果吸引力的总和。
当然,你可以把地球切成无数小块块,利用万有引力定律算出每一小块与苹果之间的引力,再把所有的引力加起来。
但是,这玩意明摆着要用微积分啊,而当时并没有微积分。
于是,牛顿说你们等我一下,然后跑回去吭哧吭哧地发明了微积分,再回来把问题解决了,一旁的胡克只能干瞪眼(想了解微积分的中学生可以看我这篇《你也能懂的微积分》)。
这样,你就知道一个数学厉害的物理学家有多可怕了吧?
牛顿拿起微积分一通计算,发现地球上所有物体对苹果引力的和,等价于把地球的质量全部集中在地心对苹果的引力。

也就是说,我们可以直接把苹果到地心的距离当做苹果和地球之间的距离r。
地球的半径R大概是6371千米,苹果树高3米,这个树高在地球半径面前当然可以忽略。也就是说,苹果到地球的距离,实际上就等于地球的半径R。
于是,苹果的质量m,地球的质量M,苹果和地球之间的距离(地球的半径R)就都知道了,代入万有引力定律就能算出苹果和地球之间的引力:

到这里,三步走的第一步,也就是算出让苹果下落的地球引力的大小,就正式完成了。
算出了合外力F的大小,接下来就进入第二步,也就是利用牛顿第二定律F=ma计算苹果下落的加速度a。
这一步太简单了,把质量m移到左边,直接让合外力F除以质量m就能得到苹果的加速度a。而这个合外力F就是上面的引力,代入化简一下就有:

得到的加速度a很有意思。你会发现牛顿第二定律F=ma里苹果的质量m,刚好跟万有引力定律里苹果的质量m约去了。
于是,苹果下落的加速度a,最后就只跟地球的质量M,地球的半径R,以及万有引力常数G有关,反而跟苹果自己的质量m无关。
这是什么意思?
意思就是说,苹果下落时,不管苹果的质量是多少,它下落的加速度都一样,因为这个加速度只跟地球的质量和半径有关。
加速度一样,如果苹果的初始状态也一样(比如都是静止的,初速度为0),那苹果在下落过程中每一分每一秒增加的速度都会一样,导致的结果就是两个苹果的运动状态完全一样。
这下子,你知道为什么两个不同质量的苹果(铁球)会同时着地了吧?
由于苹果下落的加速度a只跟地球质量M、地球半径R以及万有引力常数G有关,而它们都是确定值。我们把数据代进去,最后发现苹果下落的加速度大致等于9.8m/s²。

也就是说,苹果下落时,它的速度会每秒增加9.8m/s。
如果苹果一开始是静止的,1秒后它的速度将增加到9.8m/s,2秒后达到9.8×2=19.6m/s,以此类推……
而且,可以想象,这个规律不仅对苹果适用,对铁球,对石头,对羽毛,对地面附近任何只受到引力下落的物体都是适用的,因为这个9.8m/s²只跟地球的半径和质量有关。
为什么要一直强调地面附近呢?
因为只有在地面附近,我们才能忽略物体到地面的高度,认为物体到地心的距离等于地球半径。如果物体飞得太高,到地心的距离不能再用地球半径(还得加上物体距地面的高度)表示,那加速度就自然不再是9.8m/s²。
另外,因为地面有空气,任何物体下落时都会受到空气阻力的影响。所以,如果物体的重力比空气阻力大很多,比如铁球、苹果,那我们就可以忽略空气阻力,认为下落的加速度还是9.8m/s²。
但是,对于羽毛这种非常轻的物体,重力很小,空气阻力无法忽略。所以,我们放下羽毛时,就会觉得羽毛没有苹果落得快,并不会一秒后加速到9.8m/s。
如果在没有空气阻力的地方同时放下羽毛和苹果,你就会发现它们的下落速度是完全一样的,如下图:

这个9.8m/s²是所有物体在地球表面,由于地球引力带来的加速度,我们称之为重力加速度,用专门的符号g来表示(以区别于一般的加速度a)。
当然,地球并不是一个绝对球体,它本身也在缓慢自转。因此,地球表面不同地方(比如赤道和南极)的重力加速度也存在微小差异。不过,一般情况下我们并不用考虑它们,甚至,为了计算方便,题目中一般取重力加速度g为10m/s²。
于是,我们就知道了苹果在地面大约以10m/s²的加速度下落,然后我们就知道了苹果下落的一切运动信息。
比如,如果苹果从静止开始下落,1秒后它的速度是10m/s,下落高度是5米(想想为什么);2秒后速度是20m/s,下落高度为20米……
我们可以知道苹果在任意时刻的速度和下落高度,这才叫掌握了苹果的一切运动情况。
怎么样?有了万有引力定律,我们果然可以从物体的受力情况出发,算出它的加速度,再精确分析它的运动情况。
你告诉我物体如何受力,我果然能告诉你物体如何运动,牛顿诚不我欺也!
12从苹果到高中物理
到这里,我们就完成了一个最典型运动过程的分析:一个物体在某种力(重力或者其它力)的作用下开始改变运动状态,这个改变就体现在它具有一定的加速度a上。而加速度a可以通过牛顿第二定律F=ma得到,然后我们就可以通过加速度分析物体的运动情况了。
基本上,这就是高中物理要学的一切,是高中物理的主干,也是整个牛顿力学的主干。
好,如果牛顿力学的核心就是这么点东西,但你要出题,你要给千万考生出题。而且,出的题一不能超纲(比如不准用微积分),二还得有区分度,怎么办?

你看啊,牛顿力学的核心框架就是通过分析物体的受力来分析物体的运动。于是,牛顿第二定律F=ma就把所有问题都切割成了两部分:受力部分和运动部分。
那我们出题也就有了一个基本的思路:我可以已知物体的受力情况,让你求物体的运动情况;或者反过来,已知物体的运动情况,让你求物体的受力情况。
前面我们分析了苹果在引力作用下的运动情况,我也可以把这个过程颠倒过来:告诉你苹果是怎么运动的,让你求苹果的受力情况。
然后,引力的问题基本上就完了。
那么,如果我还想把问题弄复杂一点,怎么办?能怎么办,引力玩完了,那就再换一种力呗。
一开始我就跟大家说了,我们目前已知的所有力,归结起来就是引力、电磁力、强力和弱力。但是,强力和弱力在日常生活中一般感觉不到,高中也不学,先不管。
那么,引力之外,就只有电磁力了。
13电磁力
一看到电磁力这个名字,很多人就觉得这是不是只有在电线、磁铁出现的地方才存在的力?
但是,按照上面的说法,似乎日常生活中除了引力,其它现象都应该是电磁力主导的。
受引力影响的现象还是很好判断的,大抵就是被地球吸引着往下落的现象。但是,日常生活中明显还有很多不是引力主导的现象,比如推桌子,拉物体,桌面拖住茶杯,压缩弹簧,摩擦地面等等。
在日常生活中,这些力都有一些比较形象的名字:推力、拉力、支持力、弹力、摩擦力。
它们肯定不是引力,按照上面的说法,不是引力似乎就应该是电磁力了。但是,这些现象里没有电线和磁铁,好像又不是电磁力。
那么,它们到底是不是电磁力呢?元芳,你怎么看?

元芳:“大人,按照文章的推理,应该是电磁力;按照我们直觉,似乎不是电磁力。此文乃长尾君所写的科普文,科学应该重推理,轻直觉。因此,属下断定,它们必然都是电磁力!”
随后,长尾君给元芳点了个赞。
什么原因呢?你看啊,不管是推力、拉力、支持力、弹力还是摩擦力,它们都是“接触力”,都是两个物体非常靠近之后产生的一种力。
但是,你想过没有,为什么两个物体一靠近,一接触就会产生一种力呢?为什么我去推桌子,桌子就会受到一种力而运动?

你可能觉得这个问题很蠢。我去推桌子,桌子当然会受到一个力啊,天经地义,这还用问为什么?你是不是读书读傻了?
其实,这个问题并没有那么显而易见。你再想一下,人在推桌子时,到底发生了什么?
我们知道,人和桌子都由无数分子组成,宏观上我的手通过“接触”桌子推动了桌子,微观上则是组成手的分子不断靠近组成桌子的分子。
而分子是由原子组成的,原子是由带正电的原子核和带负电的电子组成。这样,当这些分子、原子相互靠近时,它们之间就会产生一种电磁力,这就是分子间作用力,也叫范德华力。
大量分子间的范德华力,就形成了我们宏观上感觉到的推力、拉力、支持力、弹力、摩擦力……
分子间作用力有引力也有斥力,这个细节现在先不管。我们看看图,大致知道它是怎么变化的就行了:

上图纵轴表示分子间作用力,横轴表示分子间的距离。
紫色曲线表示斥力随距离的变化图,黄线表示引力随距离的变化图,红线是引力与斥力的合力,也就是综合的分子间作用力的变化图。
可以看到,不管是引力还是斥力,都是距离越远越小,越近越大。但是,由于两者变化趋势不同,最后总的分子间作用力就是红线这样的变化规律。
大体上,当两个分子间距离很远时,分子间以引力为主;当距离小到一定程度时,斥力极具增大,成为主导。
所以,为什么你能推动桌子?
因为当你的手接近桌子时,手分子和桌子分子间的距离在急剧减小,它们之间斥力就急剧增大。于是,桌子就在这个斥力的作用下开始加速运动。
而这个斥力,也就是宏观上说的推力,就是分子间作用力,是一种电磁力。
其他的拉力、支持力、弹力、摩擦力也是类似的,这样你就能明白为什么我们说日常生活中除了引力就是电磁力了吧?你要是不放心,可以再想想生活中的其它现象,看看有没有引力和电磁力都无法解释的。
手和桌子之间的推力是大量分子间电磁相互作用的结果,因为分子数量巨大,所以这个过程非常复杂。
我们研究问题当然都从最简单的入手,简单问题搞清楚了,再去处理复杂问题。一堆分子间的电磁力太过复杂,我们就先来看看最简单的情况:两个电荷之间的电磁力。
14库仑定律
任何两个有质量的物体之间都有引力,这个引力由万有引力定律描述。
类似的,任何两个有电荷(带有正电或者负电的粒子)之间都有一种电力,这种力叫库仑力(一个叫库伦的人先发现的),它由库仑定律描述。
比如,假设两个电子的电荷量分别为q1、q2,它们之间的距离为r。那么,这两个电子之间就存在一个互相排斥(同性相斥,异性相吸)的库仑力F。
有了前面猜万有引力定律的经验,库仑定律就很容易猜了。
类似的,很显然应该是电荷量越大,库仑力越大,所以库仑力的大小应该和电荷量的乘积成正比。
因为处在三维空间,所以库仑力跟万有引力类似,也跟电荷之间距离的平方成反比。
这样我们轻轻松松就能把描述两个电荷之间库仑力的公式,也就是库仑定律写出来了:

大家看看这个式子,是不是跟万有引力定律极其相似呢?
不过就是把万有引力定律里两个物体的质量m1、m2换成了电荷量q1、q2,万有引力常数G变成了这里的库伦常数k。
但是,库仑定律跟万有引力定律有一个非常大的差别:所有物体的万有引力都是相互吸引的,没有第二种方向;电荷之间的库仑力却有方向,同性相斥,异性相吸。
也就是说,如果两个电荷都带负电(比如两个电子),那它们就互相排斥;如果一个带正电一个带负电(比如一个质子一个电子),那它们就互相吸引。
很多中学生在学习万有引力定律和库仑定律时,惊讶于它们之间的高度相似,就想着能不能把它们统一起来。但是,就是这个符号的差别,让它们的统一工作难如登天,爱因斯坦后半辈子都在琢磨这个事,直到去世都拿它没办法。
引力的这种无符号性(只有吸引)极其特殊,它仿佛在暗示我们:在引力眼里,众生平等。引力似乎是一个背景,一个舞台,它对台上所有的演员都一样,不偏不倚。这种思想后来启发爱因斯坦创立了广义相对论。
于是,我们就知道了引力之外的另一种力:库仑力,它当然也是电磁力。

我们可以用库仑定律描述两个电荷之间库仑力的大小,但是,高中很少会让你直接用库仑定律做计算,因为这个公式比较麻烦,不好出题。
你看啊,库仑力是跟距离的平方成反比的。因此,如果某个电荷在库仑力作用下开始运动,一动距离就要变了吧?距离一变,这个库仑力会按照距离的平方跟着变,那就意味着电荷的受力情况也变了。
受力变了距离又要变,距离变了受力再变,如此循环下去。这显然超出了中学物理能够处理的范围。
你可能觉得奇怪,万有引力定律跟库仑定律一样,也是平方反比。那为什么中学可以出引力的题目,出苹果下落的题目,却不能出这种库仑力的题目呢?
对啊,为什么呢?要不,给你一分钟时间考虑一下~
因为,我们在地面处理引力问题时,基本上只考虑物体和地球之间的引力。
在地面,物体的运动距离(比如苹果树的3米)相对地球半径而言太小了,所以我们完全可以忽略物体和地球之间的距离变化,认为距离r是不变的。
如果距离r不变,那物体和地球之间的引力就是一个恒力。这样产生的加速度也恒定,物体就会做最简单的匀加速运动,这是中学可以处理的。
因为引力很弱,只有大到地球这个尺度才会产生显著的引力效应,所以我们才能忽略地面物体的运动距离,认为地球引力是一个恒力。而电磁力是非常强的,你完全无法忽略这个距离r的变化,也就没法把库仑力也当作一个恒力。
电磁力比引力强多少呢?如下图,随便一个吸铁石就能把一堆硬币吸起来:

这意味着什么呢?
这些硬币能够被吸上去,就意味着:这么一个小小的磁铁与硬币之间电磁力,竟然比整个地球与硬币之间的引力还要大。
一个磁铁施加的电磁力,就能打败整个地球施加的引力,你说电磁力比引力强多少?这样你就能明白为什么中学物理无法处理库仑力作用下的电荷运动了吧?
运动会导致库仑力发生改变,这样电荷的加速度也会随之改变,这是非常复杂的变加速运动,没有微积分根本处理不了(对微积分感兴趣的中学生可以看看我写的《你也能懂的微积分》),高中物理能勉强处理加速度不变的匀加速运动。
于是乎,虽然我们知道了库仑定律,知道了如何计算两个电荷之间的库仑力。但很可惜,库仑力作用下的电荷运动过于复杂,没有微积分我们根本处理不了,怎么办?
电磁力这么重要,我们当然不能丢下它不管。库仑力作用下的电荷运动因为受力过于复杂而无法处理,那我就把受力情况搞简单一点,也给你一个大小恒定的电磁力,行不行?
行啊!如果电磁力成了恒力,那电荷的加速度就不变了。这样,问题就也变成简单的匀加速运动,与苹果下落别无二致,so easy!
那么,怎样把电磁力简化为恒定大小的力呢?
这就需要引入一个全新的概念:场。
15场的引入
场是个非常非常重要的概念,库仑发现库仑定律时(1785年)还没有场,它是法拉第(1791年~1867年)最先提出来的。
麦克斯韦后来用精准的数学语言描述了法拉第的思想,得到了能够描述一切经典电磁现象的麦克斯韦方程组(对麦克斯韦方程组感兴趣的中学生可以看看我公众号的三篇文章:《最美的公式:你也能懂的麦克斯韦方程组(积分篇)》)。
为什么需要场呢?我们先来看看没有场的时候,大家是怎么描述力的传递过程的,以万有引力定律(或者类似的库仑定律)为例:

这个定律我们已经很熟悉了,它告诉我们两个物体之间的引力跟它们的质量成正比,跟距离的平方成反比。我们只要知道两个物体的质量m1、m2以及它们之间的距离r,代入公式,立马就能求出它们之间的引力(库仑力也一样)。
问题就出在这个不起眼的“立马”上。
你想,根据公式,是不是只要两个物体的质量和距离一确定,它们之间的引力立马就确定了(质量距离一确定,引力立马就能算出来)?如果两个物体的质量发生了一丁点改变,它们之间的引力也会立马发生改变,中间不需要任何时间,整个过程是瞬间完成的。
也就是说,根据万有引力定律,引力的变化是超距的,无论多远都能瞬时完成。
举个例子,假设我们根据万有引力定律算出了地球和太阳之间的引力,因为有这么一个吸引力,地球才会围着太阳转。那么,如果太阳的质量突然发生了改变(或者极端点,太阳突然消失了),那根据万有引力定律,太阳的质量突然改变了,太阳和地球之间的引力也会突然改变。
然而,我们都知道一个事实:光从太阳发射到地球大概需要8分钟。也就是说,我们现在看到的太阳光其实是8分钟以前的太阳发出的。
那么,如果太阳的质量突然发生了改变,你觉得地球是立马就感觉到引力发生了变化,还是也要等一段时间(比如8分钟)之后才能感受到引力的变化?
这其实就是在问:引力到底是不是瞬时超距的?它能否超越空间,瞬间从一处传到另一处?
直观来看,我们当然难以接受一个力的传播不需要时间,难以接受一个力瞬间就能从非常遥远的地方传过来。你想想,如果银河系外某个生物打了一个响指,瞬间就能影响地球人的生活,那得有多可怕?

不光我们难以接受力的超距传播,牛顿一样难以接受,虽然他写下的万有引力定律是超距的。
那怎么办?从信念上来看,牛顿不相信力能够超距传播,但是超距的万有引力定律工作得非常好,能够精准描述当时已知的一切引力现象。
于是,牛顿不怀好意的写到:我把这个问题留给读者。
当然,牛顿的信念是对的,引力的确不能超距传播,而是跟光一样,也以光速传播。最终解决这个问题的是他的忠实读者爱因斯坦,但解决这个问题的起点,确是法拉第和他提出的场。

提到法拉第,大家立马就会想到电和磁。那么,为什么是法拉第最先想到了场,想到了一种限制超距传播的办法?明明牛顿自己就意识到了超距的引力是不对的,为什么牛顿同时代的科学家没有想去找场这样一种解决方案呢?
原因是速度。
牛顿时代,对电和磁的研究还没有开始,大家研究的都是一些低速(相对光速)现象。不管是地球围着太阳转,还是苹果下落,这个速度相对光速(30万km/s)都是极小的,可以忽略不计。
但是,法拉第-麦克斯韦时代研究的电磁现象,就是高速现象了(你按下开关,灯立马就亮了)。
力的确不会超距传播,但牛顿研究的都是低速现象,所以这个“误差”极小,于是超距下的万有引力定律依然具有极高的精度。
但到了电磁世界,这个“误差”,不,这已经不叫误差了,这就是错误。
因此,一个正确的电磁理论,必须要求你能抛弃力的超距传播图景,这才逼出了法拉第的场和麦克斯韦的方程组。
相信大家多多少少也听过,牛顿力学只在低速宏观时适用,一旦进入高速世界,我们就得使用精度更高的相对论力学。而法拉第-麦克斯韦的电磁理论本来就是高速理论,所以它可以不做任何修改就直接被相对论接纳。

有了场的概念,力的传播图景就发生了重大变化:力的作用不再是瞬时的,而是借助场这个“中介”以一定速度完成的。
还是以两个电荷之间的库仑力为例,库仑定律和万有引力定律那么相像,一开始人们当然觉得两个电荷之间的库仑力也是超距的。认为一个电荷的电荷量发生了改变,另一个电荷受到的库仑力立马就会改变。
有了场以后,两个电荷相互作用的图景就变成了这样:一个电荷在空间中建立了电场,另一个电荷因为处在这个电场里,于是就会受到了一个电场力(代替原来的库仑力)的作用。
如果电荷移动了,或者电荷量发生了改变,那它在空间中建立的电场也会发生改变,但这个改变是以光速进行的。于是,当改变的电场以光速传到另一个电荷那里时,它受到的电场力才会改变。
看到没有,现在两个电荷之间的力并不会随着一个电荷的改变而立马发生改变。电荷只能改变它产生的电场,电场的变化以光速向四周传播,它什么时候传到另一个电荷那里,电荷受到的电场力才会改变。
这就好比你在水边击起了一个水波,这个水波不会立马影响我,它需要等这个水波传到我这里时才会影响我,电场亦然。
于是,有了场,超距的电磁力就消失了。
明白了引入场的意义,我们再来感受一下场。对场最直观的认识,莫过于“磁铁周围撒铁屑”的实验:

在磁铁周围撒一点小铁屑,小铁屑的形状就非常完美地展现了磁铁周围的磁场分布,因为磁场会对身处其中的小磁针有一个力的作用。
电场也一样,带电物体会在周围的空间里产生一个个电场,而电场又会对身处其中的电荷产生一个力的作用。

这样,我再考虑一个电荷受到了什么力,就只要考虑电荷这里的电场和磁场就行了,不用再管远处的其它电荷。
这不仅解决了力的超距传播难题,也让我们终于可以在中学物理框架内处理电磁力问题。
为什么呢?前面说了,库仑力的大小是随距离变化的,这就导致了库仑力作用下的电荷运动会变成非常复杂的变加速运动,中学物理没法处理。
现在有了场,一个电荷就只对它周围的电场负责,而不用再管什么库仑力。
那么,我只要保证电场是均匀的,就能保证电荷受的力是恒定的,这样电荷的运动就能变成简单的匀加速运动。
出题人掩面而泣,终于可以把电磁力也塞进来了~
16简单的力
于是,我们终于可以把电磁力的题目出得让中学生也可以做了:我直接给你一个匀强电场(电场强度处处相等),这电场怎么来的我不管。
假设这个电场的强度为E,那电荷q在这个电场里受到的电场力F就是电荷量和电场强度的乘积,即F=qE。

如果电荷的质量为m,那根据牛顿第二定律F=ma,电荷的加速度a=F/m=qE/m,是个定值,完美。
所以,这就是一个简单的匀加速问题,跟苹果下落别无二致。只不过,苹果下落的加速度是重力加速度g,电荷在匀强电场中的加速度为qE/m,其它都一样。
于是,在引力之后,我们又出现了另一个非常常见的力:电场力。
此外,运动电荷在磁场中会受到一个大小恒定的洛伦兹力。假设电荷的带电量为q,速度为v,磁场的磁感应强度(由于历史原因无法叫磁场强度)为B。那么,它受到的洛伦兹力F可以表示为:F=qvB。
除了电场力、洛伦兹力,还有两个力也经常碰到:摩擦力和弹力。
虽然它们的本质都是电磁力,都是大量分子间作用力的宏观结果。但分子数量太大,虽然我们知道两个电荷之间的电磁规律,但如果你想把所有分子间作用力都搞清楚,算出它们的总和(也就是宏观的摩擦力和弹力)是不现实的。
退一万步说,就算你本事巨大,能够把每个分子间的电磁作用力都搞清楚(反正现在的科学家搞不定),可以想象,如此复杂的东西,绝不是中学那点三脚猫技巧能处理的。
简单说吧,如果力的大小不是恒定的,中学物理基本上就很难定量处理。

既然摩擦力能成为中学物理的另一种常见力,那就意味着它必须是一种简单的恒力。
从宏观理解摩擦力是很容易的,摩擦摩擦,无非就是两种物体间的一种相互作用力。一个木块在桌面上运动,它跟桌面之间就有一个摩擦阻力,在地板上运动也有一个摩擦阻力。
很显然,物体表面越粗糙,摩擦力越大;物体表面越光滑,摩擦力越小。
我们可以用一个摩擦系数μ来度量两个物体之间摩擦力的强弱。而且很巧,这个摩擦系数只跟物体的材质有关,跟物体的运动速度无关,这样摩擦力就正式晋升为一种恒力。
举例,假设质量为m(重力就是mg)的物体在摩擦系数为μ的材料上水平滑动,那摩擦力f就可以表示为摩擦系数和重力的乘积,即:f=umg。
很明显,μ、m、g都不会随着物体的运动状态而改变,所以这个摩擦力的大小是确定的。

跟摩擦力类似的还有一个空气阻力,但中学物理基本不谈它。因为它跟速度的平方成正比,这就复杂了,不忽略不行。
最后一个高中题目里常见的力就是弹力。弹力,顾名思义,是压缩或者拉伸弹簧时受到的力,它由胡克定律描述。如果弹簧的弹性系数为k,弹簧被压缩或拉伸了x的长度,那它受到的弹力F可以表示为:F=-kx。
这个负号表示弹力方向与弹簧位移方向相反,你向右拉弹簧,弹力当然向左。
好,这一口气下来,我给大家介绍了万有引力、库仑力、电场力、洛伦兹力、摩擦力、弹力,基本上高中的常见力就这么些了。
17如何出题?
把这些力亮出来干嘛呢?当然是分析在这些力的作用下物体是如何运动的。
前面分析了苹果在引力作用下的运动情况,为了让问题复杂点,我们引入了其它力。
一个苹果在重力(用万有引力定律计算)作用下获得了一个加速度(用牛顿第二定律F=ma计算),然后根据加速度分析苹果的运动情况,这是一个完美的闭环。
我们把重力换成上面的各种恒力,整个分析流程不会有任何变化。
牛顿第二定律F=ma一刀下去,把世界劈成了受力部分(用合外力F表示)和运动部分(加速度a表示)。

于是,我们的出题思路就简单了:已知物体的受力情况,比如告诉你物体受到了重力、摩擦力、电场力啥的,让你把物体的合外力倒腾出来,利用F=ma算出物体的加速度a。再根据加速度分析物体的运动情况,比如它是速度是多少?运动了多远?
或者反过来,告诉你物体怎么动的,让你从物体的运动情况求出加速度a,再利用牛顿第二定律F=ma算出物体受到的合外力,分析物体的受力情况。
在这个闭环里,只要能给出描述这个力的公式,其它步骤一模一样。牛顿第二定律F=ma只管物体受到的合外力是什么,至于这个力是重力提供的,还是电场力、摩擦力、弹力提供的,它不在乎。
所以,这种单纯增加力的种类的做法,似乎有点“换汤不换药”,也没有增加多少复杂度。
那么,如何把题目搞得再复杂一点呢?
既然牛顿第二定律F=ma把问题分成了受力和运动两部分,中学物理又由于处理能力有限,无法引入太复杂的力(比如空气阻力),那就只能把受力部分和运动部分本身搞得再复杂一点。
18受力部分复杂化
只有一个重力很简单,那我再给你加一堆的其它力。
比如我让地面不光滑,那就得考虑摩擦力;我加个电场,那还得考虑电场力;加个磁场,那还得考虑洛伦兹力。
我还可以给你加个斜面,让木块从一个倾斜角θ的地方滑下来,就跟滑滑梯一样。

这样的话,物体虽然还是被重力吸着往下滑。但是,因为重力的方向是竖直向下的,木块却沿着斜面滑动,两者的方向并不一样。
由于力是一个矢量,我们可以把它按照平行四边形法则分解。
比如,我们让两艘船分别向西、向南拉一艘货轮,这两个力却会让货轮往西南方向前进,仿佛西南方向有一个力在拉货轮似的。

那么,西南方向这个力就是原来两个力的合力,它也可以分解为原来正西、正南方向上的两个分力。
同样,重力是竖直向下的,我可以把它沿着斜面和垂直斜面进行分解。这样,让物体沿着斜面加速运动的仅仅是沿着斜面方向的分力。
我们把这个分力算出来,套入F=ma,就能求出沿着斜面方向上物体的加速度了。这里会涉及一些简单的三角计算,也是很简单的事。
总之,我们会用各种方式把这个物体的受力情况搞复杂,让你去分析这个物体的合力(或者某一方向的合力),再利用牛顿第二定律F=ma求出加速度(或某一方向的加速度),再分析运动情况。
把受力情况搞复杂的方法,可以是添加各种其它形式的力,也可以是添加类似斜面这样的东西让它复杂化。但是,只要我们知道各种力的描述公式,知道力如何进行合成分解,这些都是很简单事情。
知道了出题人会如何把受力情况搞复杂以后,我们再来看另一半:如何把运动情况搞复杂?
19运动部分复杂化
因为不让用微积分,无法处理复杂的变加速问题,我们就来分析一个最一般的匀加速运动。一般的意思就是:把它搞定了,其它所有情况就都搞定了。
一个典型的匀加速运动涉及5个物理量:初速度V0、末速度Vt、加速度a、运动时间t、运动距离S。
比如,一个苹果从树上静止下落,1秒后下落了5米,速度变成了10m/s。那么,这个过程中,初速度V0=0,末速度Vt=10m/s,运动时间t=1s,加速度a=g=10m/s²,运动距离S=5m。
我们关心的运动相关的物理量,就全部都在这里了。
接下来是重点:这5个运动相关的物理量,任意已知3个,我们都能求出另外的2个。因为我们有2个显而易见的恒等式,5-3=2。

第一个等式就是加速度的定义。你想想,加速度是什么?
加速度就是物体在单位时间(1秒钟)内速度的变化量。如果物体的初速度是1m/s,2秒后变成了5m/s,那它的加速度就是(5-1)/2=2m/s²,意味着它在1秒内速度会增加2m/s。
同样,如果物体的初速度是V0,经过时间t后速度变成了Vt,那物体的加速度a就可以表示为:a=(Vt-V0)/t。
整理一下,把t乘到左边,V0移过去。那初速度V0、末速度Vt、加速度a、时间t之间就有这样一个关系:Vt=V0+at(关系1)。
直观地看,加速度a是物体在单位时间内增加的速度,时间t后物体的速度就增加了at。那么,我用初速度V0加上增加的速度at,自然就得到了末速度Vt。
这本质上还是加速度的定义。
再看距离S,我们是如何求物体的运动距离的呢?
因为是匀加速运动,我们可以用初速度V0和末速度Vt的平均值(V0+Vt)/2当作整个运动过程的平均速度。
比如,物体一开始速度为0,1秒后速度变成了10m/s,那它这段时间的平均速度就是(0+10)/2=5m/s。当然,这只在匀加速时成立,如果是变加速就不能这么干了(为什么不能你可以想一想)。
好,知道了平均速度和时间,距离S就可以表示为它们的乘积,即:S=(V0+Vt)×t/2(关系2)。
这样,我们就有了两个固定的关系式:一个是加速度的定义,另一个是利用平均速度求距离:

这两个式子的物理意义都很明确,容易理解。
有了这两个式子的神助攻,接下来,任意已知3个物理量,我们都可以求出剩下的物理量。

在学习物理时,为了加快解题速度,许多老师会让你背一堆公式。比如,已知V0、a、t,怎么求S啊,已知V0、Vt、a,怎么求S之类的。
但是我不建议你们这么做。
在学习物理时,我不建议你们在没有理解它的物理意义,没搞清楚它背后的物理图像之前死记硬背任何公式。
你想想,别说是上面两个物理意义很明确的式子,在给你讲万有引力定律时,我都没跟你说万有引力定律就长这样,你把它记下来就行了,要考。
我费了很大的篇幅告诉你为什么万有引力定律的分子会是两个物体质量的乘积,为什么引力会跟距离的平方成反比。

只有这样,你们才会觉得这些公式很自然,它们的物理图像很清晰。物理学原本就是描述自然界各种现象的,物理公式自己会说话。
好,我们现在知道跟物体运动相关的物理量就那么5个,有了那2个等式以后,其它关系式都可以从这里推出来。
比如,已知物体的初速度V0、加速度a、时间t,如何求运动的距离S?这个场景非常常见,“苹果下落1秒后落了多远?”就是这种问题(V0=0,a=g=9.8,t=1)。
那要怎么做呢?
很简单,要求距离S就得利用关系2(S=(V0+Vt)×t/2),这里V0和t都有了,就差一个Vt,而Vt可以根据关系1(Vt=V0+at)得到。
所以,最终的结果就是把关系1的Vt代入关系2,这样我们就能得到了一个不含Vt的关于S的表达式。
你亲自去推一下,就会得到这样一个结果:S=V0t+at²/2。
这个式子非常常用,但是我非常不建议你直接把这个公式死记下来,然后用它去套各种题目。
因为这个式子的物理意义不是很明显,你可以把这个式子记下来,但很难看清它背后的物理图像。
如果你把过多的精力放在记忆这种物理意义不明显的公式上,虽然短时间内能够提高解题速度。但长此以往,会逐渐丧失对物理图景的把握,会觉得物理越来越无聊,就是一堆公式游戏,那就完蛋了。
物理学是描述自然的,自然就在我们眼前,我们能看到,能感觉到。所以我们用来描述自然界的物理语言,也应该是能看到,能感觉到的。
我们学习物理,要尽力看清公式背后的物理图像,如果你觉得这些公式很简单,那物理就会非常简单。

因此,我整篇文章都在告诉你高中物理的框架是什么,如何看清它的物理图像。我想告诉你,物理学的每一种想法,每一个公式的来源都是有理有据有节操,合情合理又合法的。
关于物体的运动部分,我们只要知道描述物体运动的5个物理量之间有2个意义非常明确的关系式,其它公式都能从这里推出来就完了。

5个物理量,2个方程,你想推导不包含哪个物理量的方程,用消元法把它消掉就行了,不用死记它们。我们需要记住的是牛顿力学处理问题的一般方法,以及这背后的物理图像。
再回到上面的式子,不包含Vt的公式是这样的:S=V0t+at²/2。你需要这个公式时,临时推一遍就完了,耽误不了你多少时间。推导次数多了,很快就自然记住了。
你因为推导次数过多自然记住的,比死记下来的效果强太多了:第一,你永远不用担心会忘记公式;第二,作为出发点的那两个关系式的物理意义足够明显,所以你会觉得推导结论的物理意义也足够明显;第三,这个过程会锻炼你的逻辑推理能力,喜欢推公式的人,数学、物理都不会差。
这是一条通往学神的道路。

如果没有理清物理框架,没有看清公式背后的物理图像,只是死死地记住了一堆结论,记住了一堆特定问题的特殊解法,那物理会学得非常痛苦。
好,再来试一个,如果把时间t消掉,初速度V0、末速度Vt、加速度a、距离S之间就会有这样一个关系式:Vt²-V0²=2aS。同样,别去死记它,别把非常有意思的物理搞成了无聊的字母游戏。
本着这种精神,你会发现出题人在物体运动状态这一边能动的手脚也非常有限,无非就是在这几个量之间变来变去。
20场景复杂化
再回到核心的牛顿第二定律F=ma上来。
在这篇文章里,我坚持在牛顿第二定律后面加上了F=ma,如果你能看到这里来,看了这么多遍F=ma,应该形成条件反射了吧?
牛顿第二定律F=ma是整个牛顿力学的核心,它把物体的受力情况和运动情况联系在了一起,并且告诉我们物体受力之后要怎样运动。
围绕它出题,也只能一方面把物体的受力情况复杂化(添加各种各样的力,复杂化受力分析),一方面把物体的运动情况复杂化(V0、Vt、a、t、S五个量颠来倒去的变)。
如果还不够复杂,那就增加场景的数量。
比如,我让小球从光滑斜面上滚下来,这很简单。那好,我再增加一个场景:小球滚下来之后再经过一个摩擦力无法忽略的地板,在摩擦力的作用下慢慢减速。
还不够复杂?那我再增加一个磁场(电场),让小球滚进磁场(电场)里运动;加一个弹簧,让小球被反弹运动;加一个传送带……
于是,许多小场景就拼成了一个大场景,问题也就更加复杂了。这就像《猫和老鼠》里经常出现的一个机关触发另一个机关的场景,不停的运动。
架势看起来很吓人,但只要把每一个过程都分析清楚了,串起来的总过程也不会很难。

好,到这里,关于牛顿第二定律F=ma,关于力如何让物体运动的分析,就先告一段落。
从这种观点看世界,力处在最核心的地位。理论上来说,只要我们知道物体此刻的状态,知道它受到的力,我们就能根据F=ma算出物体后面任意时刻的状态(速度、位移都不在话下)。
牛顿也是根据这个,将上帝逐出了太阳系。决定物体如何运动的,将不再是上帝的意志,而是它受到的力。
因此,这种以“力”为核心观念的理论被称为牛顿力学也是非常贴切的。
接下来,我们换一种眼光看世界。
21另一种角度
从牛顿力学的观点来看,只要我们知道了物体的初始状态和受力情况,就知道了物体的一切。但是,理想很丰满,现实却很骨感,很多问题理论上可以计算,实际操作起来却复杂无比。
你想啊,牛顿力学的核心思想是物体下一刻的状态由上一刻的状态以及受力情况决定。这样,我们分析下一个状态,就要依赖上一个状态,而上一个状态又依赖于上上一个状态。
这就像多米诺骨牌,我们必须对物体运动过程中的每个状态都了如指掌才能给出最终的答案。

但是,很多时候我们并不关心物体运动的中间过程是什么样,我们只关心最后的结果。
又或者,我们根本没有能力(受限于观测水平、计算能力等)把中间过程完全搞清楚,但我们很希望知道最后的结果是啥样的。
比如,你经营一家超市时,很可能不是很关心每个月都有谁买了什么具体的东西。但是,你肯定关心这个月总共卖了多少钱,进货花了多少钱,房租人力成本又花了多少钱。
因为你知道,对于你来说:钱既不会凭空产生,也不会凭空消失(你没有能力印钱,也不会发疯去撕钱),它只会从一个地方流入到另一个地方(从买家手里流入你的手里,从你的手里流入上游供货商手里),但是总量保持不变。
好,现在我们发现了一条关于金钱流通的定律,我们姑且称之为“金钱守恒定律”。
有了金钱守恒定律,我们就不用知道每天每笔账的具体细节,只要知道了总收入和总支出,就能知道这个月赚了多少钱。

同理,大自然在不停地变化,物理世界也在不停地运动。那么,在这种运动和变化之中,有没有什么东西就像钱一样,也是变来变去但总量不变的呢?
比如,一个运动小球撞击一个静止的小球,撞击前只有一个小球在运动,撞击后两个小球都在运动,但是原来小球的速度却变慢了。
想想这个过程,似乎是原来的小球拥有一部分“运动”,撞击之后它把一部分的“运动”分给了另一个小球,然后自己拥有的“运动”就变少了。再多撞几次,它的“运动”就越来越少,于是它就慢慢减速,直到最后停了下来。
发现没有,小球失去“运动”的过程,跟我们失去金钱的过程非常类似。
我手上有一笔钱,给这个分一点那个分一点,然后我的钱就越来越少,最后没钱了。小球有一笔“运动”,它给这个分一点,那个分一点,最后“运动”分完了它就不动了。
金钱和“运动”如此类似,既然有“金钱守恒定律”,那会不会也有什么跟运动相关的守恒定律呢?
提到守恒就要比大小,几个量加起来等于另外几个量才叫守恒。
那问题的关键就是:金钱我知道如何衡量它的大小(直接用人民币的面额就行),那运动我用什么去衡量它的大小呢?
22运动的能力
一个小球以一定的速度运动,那它具有的“运动的能力”是多大呢?分给另外的小球之后,它们拿走了多少,我自己又还剩下多少?很显然,这些账必须算清楚,否则没法玩。
也就是说,我们现在需要找到一个量来描述小球运动能力的大小。这个量应该长什么样,我们不妨先来猜一猜。

很显然,最容易想到的就是速度。一个小球的速度越大,运动得越快,它显然就应该具有更多“运动的能力”。
但问题是,这种运动的能力跟小球的速度到底是什么关系?如果小球的速度变成了原来的2倍,那它“运动的能力”到底是变成了原来的2倍,还是4倍、8倍或者其它数字?
这种问题光靠脑袋是想不出来的,物理学是基于实验的科学,我们可以通过实验来寻找这种关系。
比如,我们可以让小球以一定的速度撞击其它的小球,再把小球的速度提高到原来的2倍、3倍,让它再去撞击同样的小球,看看它“运动的能力”到底提高了多少倍。

最后,实验结果告诉我们:物体具有的“运动的能力”,跟它的速度的平方成正比。
也就是说,如果速度变成了2倍,它具有的”运动的能力“就变成了原来的4倍;速度变成了3倍,后者就变成原来的9倍。
除了速度,物体具有的“运动的能力”显然还跟质量有关。同样的速度,一辆大卡车显然比一辆自行车具有更多“运动的能力”,前者明显能撞飞更多的东西。
同样的问题:它跟质量是什么关系?一个物体的质量变成了原来的2倍,它具有的“运动的能力”会变成原来的几倍呢?
同样的回答:去做实验,实验结果说什么,我们就听什么。最后,实验说物体具有的”运动的能力“跟质量成正比。
也就是说,质量变成2倍,”运动的能力“也变成2倍。
这也是很好理解的。因为质量变成了2倍,我就可以把它分成两个质量相等的小物体,这样每个小物体具有的“运动的能力”就应该和原来的一样,所以必然是2倍。
其它的因素好像暂时就无关紧要了。
这样,我们基本上就找出了物体“运动的能力”的定量关系式:它跟物体的质量成正比,跟物体的速度的平方成正比。最后,考虑到单位和数值,我们再加了一个1/2作为系数。
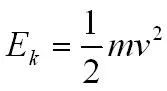
于是,这个定量描述物体具有”运动的能力“的物理量,就有了一个新名字:动能。
这个能,是能量(Energy)的意思,所以用字母E表示,动能就表示因为物体运动而具有的能量。

动能的大小就等于物体的质量m乘以速度的平方v²,再除以2,即:E=mv²/2。

有了动能的具体表达式,我们就可以对物体具有的”运动的能力“进行定量计算,算清楚后就可以和钱一样进行交易、分配了。
23能量守恒定律
动能,是物体因为运动而具有的能量,是能量的一种。
我们可以把这个能量分一点给其他的物体,中间环节我不管。你可以跟A物体关系好就给它多分一点,跟B物体关系不咋地就给它少分一点,但是能量的总和是一定的,能量的总量是守恒的。
这样,仿照“金钱守恒定律”,我们就有一条能量守恒定律:能量既不会凭空产生,也不会凭空消失,它只会从一种形式转化为另一种形式,或者从一个物体转移到其它物体,而能量的总量保持不变。
能量守恒定律是一条非常伟大的定律,它让我们有了另一种视角来看待物理世界,而且还很容易理解。
之前我们用牛顿第二定律F=ma分析物体运动,它的核心概念是“力”。物体的运动状态之所以会改变,是因为有力作用在它身上。我们对物体进行受力分析找出合外力,然后根据F=ma求出物体的加速度,从而算出物体下一刻的运动状态。
比如,一个运动的小球去撞击静止的小球,为什么静止的小球会动呢?

从力的观点来看,是因为运动小球跟它接触时,给它施加了一个力的作用。这个力让静止小球有了一个加速度,从而改变了它的运动状态。
你想算出静止小球后面怎么运动,就要算出它受力的大小。但是,这明显不太好算(就撞一下,我哪知道它到底有多大力啊,测也不好测)。
现在,我们有了能量的观点,就能从能量转化的角度来看这个过程。
为什么静止的小球会动起来呢?因为运动的小球把一部分动能给它了,于是静止小球就具有了一部分动能,就动了。
那么,静止小球获得了多少动能呢?答:原来运动的小球损失了多少动能,静止的小球就获得了多少动能,因为动能的总量是守恒的(这里假设都是刚性小球,碰撞过程没有能量损失)。
这样,我们就不用再关注碰撞过程中到底发生了什么,也不用去计算碰撞过程中每个时刻的受力大小,直接根据前后能量守恒就行了,这太棒了。
有了能量守恒这样一种新思路,科学家们高兴坏了。
这样,很多中间过程很复杂,但我们并不关心中间过程,只关心结果的问题就很好解决了。比如刚刚说的碰撞问题,用牛顿第二定律F=ma实在不好弄,但是用能量守恒就轻轻松松。
守恒律是物理学里非常重要的东西,为什么有些东西(比如能量)是守恒的呢?背后更深层的原因就是对称性。
比如,为什么能量守恒?因为我们的世界具有时间平移不变性。
简单的说就是今天有效的物理定律,明天也有效。把物理定律在时间上从今天平移到明天,它不发生改变(F=ma今天是这样,明天还是这样),这就是时间平移不变性。

你可能觉得这是废话,如果一条物理定律今天长这样,明天长那样,那我还要定律有何用?确实如此,如果物理定律天天变,那物理学也没啥意义了。
但是,正是因为有时间平移不变性,我们才有能量守恒。这个世界最难理解的事情,就是这个世界居然是可以理解的。这里就不多说了,感兴趣的可以看看我的这篇:《深度:宇称不守恒到底说了啥?杨振宁和李政道的发现究竟有多大意义?》。
好,发现了能量守恒这么好的东西,物理学家当然立马就被圈粉了,于是能量守恒就成了“物理正确”。
24能量的扩张
前面说了,刚性小球在碰撞时动能是守恒的,大家撞来撞去,动能就在它们之间不断流动。
但是,你观察苹果下落的过程:一个苹果一开始是静止的,这时动能为0。但是,它下落时速度在不断增加,所以动能也会不停地增大。

也就是说,苹果一开始动能为0,后来慢慢增大了。
不是说动能守恒的么?这里没看到其它物体动能减小,那苹果增加的动能是从哪里来的?为什么刚性小球碰撞时动能守恒,苹果下落时动能好像就不守恒了?问题出在哪?
我们想想,苹果之所以会加速下落,是因为地球对苹果有一个吸引力。这个引力让苹果加速,获得了动能。除了引力,还因为苹果距离地面有一定的高度,具有往下落的能力,所以才会加速下落,动能增加。
所以,面对苹果下落,动能不守恒这个问题,物理学家想到的办法是:苹果因为距离地面很高,而且受到重力,因此具有往下落的能力。这也是一种能量,我们把它定义为重力势能。
苹果在树上具有一定的重力势能,下落过程中,它的重力势能不断减小,动能不断地增加。虽然苹果的动能不守恒,但是动能和重力势能的总能量依然保持守恒。
这样,物理学家们深爱的能量守恒定律就依然成立。

同理,我们继续观察:一个木块在粗糙的地面上滑动,最后慢慢停了下来。那么,这个过程中木块的动能去哪了呢?好像也没有转化成重力势能或者其它物体的动能啊。
木块在粗糙地面上滑动时,受到摩擦力的阻碍而减速,这个过程加热了地面(摩擦生热)。
从微观来看,温度升高了,其实就是分子的运动程度变剧烈了,是分子的平均动能增加了。于是,我们又新定义了一种能量:内能。
因此,木块在滑动时,动能转化成了内能(或者说大量分子的动能),总能量保持不变,能量守恒定律依然成立。
同样,一个带电小球在电场中会被加速,动能增加。那这个动能从哪里来的呢?好,于是电场就理所当然地具有了能量,小球和电场的总能量守恒,能量守恒定律依然成立。
从某种意义上来说,能量守恒定律似乎永远不会错。因为你只要发现某个过程中能量不守恒,我就可以定义一种新品种的能量(就像重力势能、内能、电场能),从而让能量守恒继续成立。
25力与能量
力和能量是我们看待物理世界的两个不同视角。
面对同一个物理现象,你既可以对它受力分析,通过牛顿第二定律F=ma来求解;也可以找到系统的能量转换关系,利用能量守恒来求解。
那么,力和能量是怎么关联起来的呢?
看一个简单的例子:我用一个恒力F(大小和方向都不变)去推一个质量为m的静止物体,然后物体均匀地加速到速度v。
从力的角度看,物体受到的合外力就是F,它在这个力的作用下产生了一个加速度a,然后物体以这个加速度从静止加速到速度v。
不知道大家还记不记得前面关于运动部分的分析。5个运动相关的物理量V0、Vt、a、t、S,我们只要知道3个,就能求出另外2个,因为有两个恒等式:

在这个例子里,我们已经知道了3个物理量:初速度V0为0,末速度Vt为v,加速度为a。
利用上面两个关系式消去时间t,我们就能得到其它四个量的关系:Vt²-V0²=2aS。在这个例子里,V0=0,Vt=v,代入进去就是v²=2aS,于是距离S就可以写成:S=v²/2a。
把距离S求出来干嘛呢?我们不妨来算一算力F和距离S的乘积F·S,也就是算一算力F在空间上的累积。
为什么要算这个量呢?待会儿你就知道了。
因为S=v²/2a,力F可以根据牛顿第二定律F=ma来算,那么力F和距离S的乘积F·S可以表示为:

看到没有,这两个量相乘,刚好把加速度a约去了,剩下的结果竟然就是mv²/2。
有没有很眼熟?这不就是刚刚说的物体的动能么?

也就是说,我们用力F乘以这个力作用的距离S,得到的结果竟然跟物体后来的动能一模一样。
这是一种巧合,还是有什么更深层的含意?

好,上面我们从“力”的角度分析了这个过程,下面再从“能量”角度来看看。
从能量角度来说,物体一开始是静止的,动能为0,后来具有速度v,动能为mv²/2。
也就是说,物体凭空多出了mv²/2的动能。那么,这个能量是从哪里来的呢?
从直觉来看,物体会动,是因为有一个力F在推它。那么,这个力又是从哪里来的呢?
如果是一个人在推物体,那么,为了使出这个力,这个人肯定需要消耗一定的能量。其中一部分能量就给了物体,成了它的动能。
如果是地球在吸引物体,那这个F就是重力,结果就成了重力势能转化成了物体的动能。
如果是一个电场在推物体,这个力F就是电场力,这个过程就是电场能转化成了物体的动能。
当然,题目并没有说这个力F是从哪里来的,我们也就无法知道到底是什么能量转化成了物体的动能。
但是没关系,不管这个力是什么力,也不管这个能量到底是从哪转化来的,我们只要知道用这个力F乘以距离S就能等效地算出这个动能的大小就完了。
力作用在一个物体上,并且使物体在力的方向上移动了一段距离,这个过程在物理上叫做功。它是能量从一种形式转化为另一种形式的过程,正如上面人的能量、重力势能、电场能转化成物体动能那样。
虽然这个概念很重要,但是我现在并不想过多地讲这个。你脑袋里只要有清晰的能量守恒、能量流动、能量转化的图景就完了。
有了“力乘以距离就能等效地算出这个动能的大小”的概念后,你会发现很多能量的公式根本不用记,自然而然就能写出来。没错,我一直在教你“自然而然的物理”,教你如何不去死背物理公式~
26不用死记的能量
比如,一个质量为m的苹果,在高度为h的树上,它具有的重力势能是多少?
苹果从树上静止下落,从能量角度来看,就是苹果具有的重力势能转化成了它的动能。而我刚刚说了,力F乘以距离S就能等效地算出这个动能的大小,那自然也就算出了重力势能的大小。
在地面附近,苹果的重力为mg,它从苹果树下落到地面要走的距离为h。那么,用重力乘以距离得到的mgh,自然就是苹果具有的重力势能。
同样,在一个匀强电场E里,电荷q受到的电场力为qE。那么,在高度为d的地方具有的电场能就应该是qEd。不过,出题人一般会告诉你电势差U=Ed,这样电场能就可以直接写成qU。
弹性势能稍微麻烦一点,因为弹簧被压缩时,弹力的大小F是一直在改变的F=-kx(k为弹性系数,x为压缩距离),并不像重力mg、电场力qE那样一直是恒定的。
因此,我们就不能直接用一个固定大小的力乘以距离来表示弹性势能。而应该把弹簧分成很多片,在每一小片里近似认为弹力不变,求出这一小段的弹性势能,再把所有的加起来。
这又是微积分的思想,你看看我这篇《你也能懂的微积分》,就知道怎样利用弹力公式F=-kx来计算弹性势能的大小了(提示,最终弹性势能的表达式为kx²/2)。

知道怎么表示重力势能以后,我们再来看看苹果下落这件事。
假设苹果的质量为m,苹果树的高度为h。在树上,苹果的动能为0,重力势能为mgh;苹果落地时,重力势能为0(因为高度h=0),动能达到最大的mv²/2。
因为能量是守恒的,所以在树上的总能量(0+mgh)就应该等于落地时的总能量(mv²/2+0),即:

把质量约掉,g又是一个常数,这个式子就变成了高度h和落地速度v的一个关系式。很显然,已知其中一个,立马就能算出另外一个。
当然,如果知道了树的高度h,就等于知道了运动距离S,加速度又是已知的g,初速度等于0。所以,我们就已经知道3个运动相关的量了,从运动学关系出发,一样可以算出下落时间t和落地速度v。
这是两种不同的视角,两种方法也都不难。
27能量视角的优势
再看一个有区分度的:

一个物体从一个弯曲的光滑斜面往下滑,注意斜面不是平的。因为弯曲,所以物体在不同时刻沿着斜面方向的分力是不一样的,因此物体的加速度也在不停地改变。
就像我们滑滑梯时,都是一开始坡度大一些,加速度大一些,后面平缓一些,加速度小一些。

这样你再想从力的角度对它进行运动学分析就困难了吧?因为物体的加速度一直在变,这是一个变加速运动。
更麻烦的是,题目压根就没告诉我这个曲面是怎么弯曲的,这样就求不出中间时刻的加速度,那速度自然也没法求了。
但是,从能量角度来看,这个问题跟苹果下落的问题没有任何区别:都是静止物体从某一高度下落,重力势能完全转化为动能的过程。
所以,从能量守恒的角度,我根本就不需要知道这个斜面是怎么弯曲的,不需要知道中间过程都是啥样。
我只要知道,最后到达地面时,它全部的重力势能mgh都转化成了动能mv²/2就完了:

你看,整个方程都跟苹果下落一模一样,非常简单。
这样,大家对能量视角有什么新体会么?
28物理学的图像
说了这么多,我都在说些啥呢?仔细想一想,似乎这篇文章从头到尾都在教你不要死记物理公式,不要硬背物理定律,要看清物理学的图像。
物理学是一门研究物质基本运动和规律的学问,牛顿力学又是极其成熟的一套体系。既然非常成熟,那它自然就有一套非常完善地处理各种问题的一般方法。因为自成体系,所以它也有着清晰的框架结构和逻辑基础。
我写这篇文章,就是希望能帮你把这套体系理清楚,让你知道牛顿力学眼里是如何看待这个世界的,它处理物理问题的通用框架又是怎样的。
我不希望学生们一到高中就迷失在各种物理技巧和细节的海洋里,然后直到高中毕业,脑袋里都没有一块完整的物理学拼图。

牛顿力学和原来物理学的一个最大区别就是:牛顿力学认为力不是维持物体运动的原因,而是改变物体运动速度的原因。这种思想在牛顿第二定律F=ma这里得到了完美的体现,所以牛顿第二定律这么重要。
F=ma不就是在告诉我们力F是如何改变物体的运动速度(加速度a)的么?然后,你是什么力(引力、摩擦力、弹力、电场力),找到描述这种力的公式就完了;它要怎么运动,无非就是V0、Vt、a、t、S这五个运动物理量之间的字母游戏。
能量和能量守恒则提供了另一种看待问题的视角。
这里不需要力,我们只要抓住各种能量之间是如何转化的,就像抓住经济活动中金钱是如何流动的一样。只要把逻辑理清楚了,许多能量的表达式都是非常自然的。
“力”这个概念在高中随处可见,但基本上也就局限在牛顿力学里了,它是牛顿力学这个特定背景下的产物。当你以后学习近代物理时,你会发现力的概念越来越少,现代物理里甚至通篇没有“力”这个东西。
但是,能量的概念在牛顿力学、相对论、量子力学、量子场论里一直都有,它是超越牛顿力学,在所有物理学里都非常重要的存在。
好,回到牛顿力学,我们再来聊最后一个话题。
29从牛顿第三定律出发
牛顿力学有三大运动定律,它们是这个体系里最基本的东西。第一定律(惯性定律)和第二定律(F=ma)我们已经很熟悉了,牛顿第三定律的存在感没有那么强,可能是因为它太“显而易见”了吧。
但是,从它“推导”出来的一个东西却非常有意思,我们一起来看看。
牛顿第三定律简单的说就是:相互作用的两个物体作用力和反作用力大小相等,方向相反(牛顿的原话是“每一个作用都有一个相等的反作用”,并没有提到力。但因为我们学的是牛顿力学,所以教材里都直接用作用力和反作用力来表述)。
举个例子,你用力推墙,就会感觉墙也在以同样大小的力推你。好吧,这个好像确实太理所当然、显而易见了,活该存在感不强。
但是我们仔细想想,牛顿第三定律其实是在告诉我们:两个物体相互作用(比如碰撞)时,如果我把它们看作一个整体,那它们之间的作用力就成了内部作用力(以后简称内力),内力大小相等,方向相反。
不知道你看到这种大小相等、方向相反的东西有什么反应,会不会有一种想把它们加起来的冲动?
比如,-5和5一点都不好看,但把它们加起来就刚好等于0,消去了,感觉很棒。
代数化简时,看到一堆乱七八糟的东西刚好可以正负抵消,立马心情愉悦。
从经典的俄罗斯方块到现在很火的各类“消消乐”游戏,也都是抓住了人们喜欢看到复杂东西被消去,复杂问题简单化的心理。

那么,既然牛顿第三定律告诉我们相互作用的两个物体间的内力大小相等、方向相反,那我们要不要也来试试,看看能不能玩出一点俄罗斯方块的感觉来?
比如,两个小球在光滑水平面上碰撞时(光滑的意思就是不考虑摩擦力),水平方向上没有其它的外力,主导整个碰撞过程的就是两个小球之间的内力。
根据牛顿第三定律,球A对球B的力,和球B对球A的力大小相等,方向相反。

那么,对待这样两个大小相等、方向相反的内力,我们能做点啥呢?直接把这两个内力加起来,让它们的和等于0?
这样做好像没啥意思,直接加起来,得到它们的合力等于0又能说明什么呢?难道用牛顿第二定律F=ma,根据合力去算它们的合加速度?这是两个小球,算一个合加速度,没意义啊。
但是,我们可以把思维拓宽一点,再来观察一下小球的碰撞过程:碰撞的时候,这两个内力大小相等、方向相反,没错。但是,还有一个很隐蔽东西也是相等的,那就是作用的时间t。
两个小球碰撞时间t虽然极短,但它们绝对是相同的。你推了我一秒钟,我当然也反推了你一秒钟,正所谓一个巴掌拍不响。
好,既然两个小球的内力F和F'大小相等、方向相反(即F+F'=0,力是矢量,正负号代表方向),它们的作用时间Δt又相等。那我把内力和时间乘起来,得到的结果是不是还应该大小相等,方向相反?即:FΔt+F'Δt=0。
假设两个小球的质量分别为m、m',碰撞过程中加速度分别是a、a',那根据牛顿第二定律F=ma就可以把F、F'写成:F=ma,F'=m'a'。
把F和F'用ma代入上面的式子后,式子就变长了一点:maΔt+m'a'Δt=0。
这个结果很有意思,在maΔt里,原本ma是一组的。但是我们现在棒打鸳鸯,强行把ma拆散,让a和Δt组成新的cp,看看能擦出什么火花。
a乘以Δt是什么呢?a是加速度,Δt是碰撞的时间,加速度a乘以时间Δt,这不就是碰撞过程中物体速度的变化量Δv么(加速度a表示单位时间内速度变换了多少,乘以Δt自然就表示Δt时间内速度变化了多少,即:Δv=aΔt)?
这样,我们用牛顿第二定律把F拆成了ma,再把a和后面的Δt组在一起凑成了Δv。那么,原来的式子自然就变成了:mΔv+m'Δv'=0。
这个式子就值得玩味了,本来是根据牛顿第三定律,两个内力F和F'大小相等、方向相反:F+F'=0。现在却得到了质量m和速度变化量Δv的乘积mΔv大小相等、方向相反的关系式:mΔv+m'Δv'=0。
我们用一个新的物理量p表示质量m和速度v的乘积,即p=mv。再给这个p取一个名字,叫动量。

那么,mΔv自然就表示小球碰撞前后动量的变化量Δp。于是,原来的mΔv+m'Δv'=0就可以写成Δp+Δp'=0。
这就意味着,碰撞前后,小球A的动量增加了多少,小球B的动量就要减少多少,这样它们动量的变化量加起来才等于0。
两个物体发生碰撞,碰撞前后,一个物体的动量增加了多少,另一个物体的动量就减少了多少,这说明了什么呢?
这自然说明:碰撞过程中,两个小球的总动量守恒。
30动量守恒定律
碰撞前我们总共有10份动量,碰撞后你的动量增加了2份(+2),我的刚好减少了2份(-2),那总动量还是10份,跟碰撞前一样(2-2=0)。
这就是跟能量守恒定律齐名,另一个大名鼎鼎的守恒律:动量守恒定律。

能量守恒定律更深层的原因是时间平移不变性,就是说昨天的物理定律跟今天的一样;动量守恒定律更深层的原因则是空间平移不变性,就是说北京的物理定律跟武汉的物理定律一样。
守恒律跟对称性之间有非常密切的关系,这里我不细说,你们有个概念就行。
再回顾一下推导过程,想想我们是如何得到动量守恒定律的?
我们假设两个小球碰撞时没有摩擦力,也没有其它外力(或者合外力为0),所以它们的内力大小相等、方向相反,再加上作用时间相同,这才得到了动量守恒定律。
也就是说,动量守恒是有条件的,如果我们想让一个系统(比如两个小球)满足动量守恒,那这个系统就必须没有外力(或者合外力为0)作用。
知道了动量守恒,我们再单独看看动量(p=mv)这个概念。
如果我用力F推一个质量为m的小球,让小球从静止加速到速度v,那它的动量就增加了mv。
而速度v和加速度a之间有这样一个简单的关系:v=at。我们在两边同时乘以质量m,左边就凑出了动量的样子:mv=mat。右边一眼就看到了ma这个老朋友,立马根据牛顿第二定律F=ma,用力F替换掉。
于是,式子就变成了:mv=Ft。
这个式子告诉我们,我用力F去推一个小球,推了t秒,那么小球的动量(mv)就增加了Ft,动量成了力在时间上的一个累积(还记得力在空间上的累积F·S是什么么?)。

所以,苹果下落时,重力mg就会在时间上不停累积,这就让苹果本身的动量增加了。因为重力对苹果来说是外力,所以苹果自己的动量是不守恒的。
但是,如果我们考虑苹果和地球组成的系统呢?
苹果之所以会下落,是因为地球对苹果有一个引力。这种情况下,让苹果下落的重力就不再是苹果和地球组成系统的外力了,而是系统的内力。
所以,苹果和地球组成的系统,动量就又守恒了。
好,把思路再拓宽一下,你会发现有很多只有内力“窝里横”的场景,这种时候动量守恒定律就会变得非常有用。
牛顿第三定律只涉及到作用力和反作用力,孤零零的两个力发挥余地有限。但是,动量的定义是质量乘以速度,速度可是非常基础的物理量啊。
31碰撞
再回到经典的碰撞问题上来,如果一个质量为m1的小球以速度v1正面撞击一个质量为m2的静止小球,碰撞之后这两个小球的速度能求出来么?
这是一个非常实在又实用的问题。首先,我们可以想一下:只有这几个条件,能不能求出结果来?
你想啊,一个质量为m1的小球静止在那里,状态是固定的。另一个质量为m2的小球以确定的速度去撞它,这个状态也是确定的。那么,这样撞击之后状态是不是确定的呢?如果把这个过程重复100遍,会得到一样的结果么?
直观的想,结果应该是一样的。如果不一样,就意味着每次用同样的力道去击球,球的速度居然不一样,那台球还怎么玩?

从力的角度考虑,小球以一定的速度去撞击另一个小球,那碰撞产生的力也应该是一样的,于是加速度也一样,所以它的运动状态也应该是一样的。
因此,碰撞后两个小球的速度应该是确定的。既然确定,你就应该能把它们算出来,算不出来就是没本事。
那回到问题,对于碰撞过程,碰撞前小球的速度都知道,小球的质量也都知道,唯二不知道的就是两个小球碰撞后的速度。
有两个物理量不知道,我们想求出这两个物理量,就需要找到两个方程(一个方程就是一种限制条件,两个方程才能确定两个未知量,因为两条直线确定一个交点)。
第一个限制条件好说,两个小球发生碰撞(没有外力,不考虑摩擦力),这两个小球组成的系统肯定动量守恒。
假设碰撞后小球的速度分别为v1'和v2',根据动量守恒(碰撞前的总动量等于碰撞后的总动量)就能写出第一个方程:m1×v1+m2×0=m1×v1'+m2×v2'。

于是,我们从动量守恒的角度给出了第一个限制方程。
但是,这个问题有两个未知量v1'、v2',因而需要两个限制方程才能求解,那去哪找第二个方程呢?
很多人立马会想到跟动量守恒齐名的能量守恒,没错,动量和能量确实是看待问题的两个绝佳角度。而且它们都不涉及具体的力,不用分析中间过程,只关注开始状态和最终状态。
因此,我们有理由相信,让动量守恒和能量守恒双剑合璧,应该就能解决问题了。
那么,现在的问题就变成了:小球碰撞过程中能量到底守恒不守恒?不,能量肯定是守恒的,它无非就是从一处跑到了另一处。
由于小球都在地面,它们的能量都以动能(mv²/2)的形式存在。所以,我们更精确的问题应该是:碰撞过程中小球的动能是否守恒?
如果动能也守恒的话,我们立马就可以再列一个方程出来,那两个方程两个未知量,问题就解决了。
由于地面光滑,没有摩擦力,动能没法通过内能损失掉。而碰撞过程中水平方向只有内力在起作用,那这个内力会不会造成小球的动能泄露呢?
32动能是否泄露?
回想一下,一个力要如何做才能改变物体动能呢?只要力作用在物体上,物体的动能就会变么?
当然不是!
地面上放着一个大箱子,它的动能为0(因为速度为0)。我用力去推它,结果没有推动,那箱子的动能就还是0,这就说明这个推力没能改变物体的动能。
如果我推动了箱子,让箱子在推力方向上移动了一段距离,那箱子就动了起来,动能就增加了。
所以,光有力并不能保证改变物体的动能,我们还需要物体在这个力F的方向上移动了一段距离S,确保F·S≠0之后,才会改变动能。
前面也说了,一个力F作用在物体上,并且使物体在力的方向上移动了一段距离S,物理上就说这个力F对物体做了功。做功是能量由一种形式转化为另一种形式的过程。
这样我们就明白了:要判断小球在碰撞过程中动能是否守恒,关键就要看碰撞时内力到底有没有让小球沿着内力方向移动了一段距离。
简单来说,就是看这个小球有没有被压扁。

因为压扁就是一种形变,碰撞的内力把足球压扁了,就意味着这个内力让足球的一部分在内力的方向上前进了一段距离,所以内力对足球做了功,总动能不再守恒。
33动能守恒的碰撞
当然,我们知道世界上并没有绝对坚固的物体,任何物体都是由一大堆分子、原子组成的。两个物体碰撞时,这些分子、原子肯定会动。
但是,考虑到实验的精度,也为了研究的方便,我们还是会考虑这种绝对坚固的刚体。刚体在碰撞时不发生任何形变,内力无法改变它们的动能。
于是,整个碰撞过程就变成了一个小球的动能转移到了另一个小球身上,它们总动能守恒。

所以,如果两个小球是绝对刚体(是不是绝对刚体题目都会告诉你),它们碰撞时没有任何形变,不会被压变形。这种情况下,它们的碰撞过程就不仅满足动量守恒,还满足动能守恒。
于是,我们就可以列出两个方程(动量守恒方程和动能守恒方程),需要求的未知量也只有两个(两个小球碰撞后的速度)。这样,两个方程,两个未知量,直接就能求解了。
另外,我希望大家能够清晰地意识到:到这里,我们这个物理题目就已经做完了。我们根据物理知识分析物理图像,列出了物理方程后,物理工作就做完了,剩下的解方程只是纯数学问题,步骤也是非常程序化的。
大家在学习物理时,对什么是数学问题,什么是物理问题要有清晰的概念。如果你对物理学的框架很熟悉,脑袋中的物理图像也很清晰,那这个界限是很明显的。
如果你觉得物理跟数学游戏一样,那就说明还没有建立一个清晰的物理图像,这是很可怕的。

至于为什么有两个未知量,我们就需要列两个方程,这是一个非常基础的数学问题。
你想想,如果我们建了一个二维坐标系,两个量(x,y)就组成了坐标系里的一个点。
如果没有任何方程约束它们,那x和y可以取任何值,这个点(x,y)就可以出现在平面的任何一个地方,它们当然是不确定的。
如果有一个方程呢?那意味着x和y就不能随意取值了,它们的取值必须满足这个方程才行。这样,点(x,y)就只能出现在一些特定的地方,它们就组成了一条直线或者曲线y=f(x),也就是函数的图像。
如果有两个方程限制,那(x,y)就必须同时出现在这两条直线(曲线)上,它可以活动的范围就更窄了。如果这两条直线有唯一的交点,这个交点(x,y)就是它唯一可以去的地方,于是x和y就都唯一确定了。

x和y确定了,就意味着未知量都求出来了,那题目也做完了。
这个道理,不清楚的可以自己再琢磨一下。反正,对于物理问题,基本上你有几个未知的物理量,就得列出几个独立的方程来。
所以,你再回头看看小球m1、m2的碰撞过程,它总共有6个物理量:两个小球的质量m1和m2,两个小球碰撞前后各自的速度v1、v2、v1'、v2'。
未知量有6个,但我们拥有的限制方程只有动能守恒和动能守恒2个,6-2=4。
所以,命题老师不管怎么出题,都必须告诉我4个物理量,我才能求出另外2个。如果你只告诉我3个,那对不起,这题解不出来,你另请高明。
为什么只已知3个就一定解不出来呢?还是以碰撞为例,我先告诉你两个小球的质量分别为m1、m2,这已知2个了。再加一个,比如我再告诉你m1碰撞前的速度v1等于0,这就3个了,你能根据这些求出其它物理量么?
这题显然无解啊,两个小球摆在这里,已知一个是静止的,然后你问我它们碰撞之后各自的速度是多少?你确定没有在逗我?
关于物理图像和数学方程之间的事,这里就不多说了。大家可以自己多琢磨琢磨,力求把物理图像搞清楚,然后把一个题目的物理部分和数学部分分清楚,这会大有裨益。
好,两个方程两个未知量,动能守恒的碰撞问题就结束了。
那接下来的问题自然就是:如果不是绝对坚固的小球,如果碰撞时一个小球会被压变形呢?
34动能不守恒的碰撞
首先,如果碰撞时小球被压扁了,那碰撞过程中动量还守恒么?答案是动量依然守恒。
因为我们推出动量守恒,只用到了作用力和反作用力大小相等、方向相反,并且作用时间相同。所以,只要没有外力参与,我不管你有没有被压扁(压扁也是内力),总动量都守恒。
但是,如果碰撞时一个小球被压扁了,内力做了功(在力的方向上移动了一段距离),那么碰撞过程中总动能肯定就不再守恒,有一部分动能被内力泄露了出去(比如,挤压小球,小球变热了,动能就转化成了内能)。
如果我们还想从能量守恒的角度也给出一个限制方程,那就必须知道这个内力到底带走了多少能量。也就是必须要能算出这个内力F移动了多少距离S,把F·S算出来,否则,没戏。
所以,出题人就不会让你去计算两个皮球撞扁了的情况。因为,把皮球压扁的力F不好算,到底压扁了多大的距离S也不好算(一个球的一半被压扁了,你说这距离要怎么算?)。
于是,你就没法计算内力到底做了多少功,没法知道这个过程中到底损失了多少动能。这样,能量守恒的方程列不出来,就没法算了。
什么,没法算?
那怎么行!出题人有出题人的追求,出题人有出题人的崇高理想。我们怎么能够因为碰撞时损失的动能无法计算就放弃呢?放心,我们一定会想办法让同学们能算出来,而且用中学数学就能算出来。

碰撞问题涉及两个(甚至更多的)物体,比一个物体的问题更复杂。
它可以承载动量守恒、能量守恒这两个极为重要的东西,很全面。而且,如果不是绝对刚体之间的碰撞,动能就还有损失,就更加复杂了,是拉开优等生和特等生好办法,是让高考题具有区分度的绝佳武器。
这么好的机会,错过这个村就没这个店了。出题人不死心,他们在思考:要如何设计,如何简化,才能让这个碰撞问题在高中也能求解呢?
他们想,两个皮球的碰撞问题之所以无法求解,根源就在于碰撞过程损失的动能无法计算,这样能量守恒的方程就列不出来。
皮球碰撞时接触面太大,这样碰撞时就有太多接触点,于是就会有非常多大小不一的力F;接触面积太大,也会让求内力移动的距离S变得遥不可及。
如果想让这个损失的动能F·S可以计算,最好内力F是单一的,而且是可算的。这个碰撞的接触点也不能太多,最好就是一个点。如果碰撞时另一个小球可以变得很小很小,小到跟子弹那样可以近似看成一个点,那子弹打入的深度(即距离S)就好算了,力也相对好求。

咦,那我为什么不干脆就用子弹来出题呢?
于是,出题人就想到利用子弹代替其中的一个小球。至于另一个小球嘛,用子弹打钢球,打不动;用子弹打皮球,会打爆不好控制。于是,出题人想到了一个绝佳的替换物:木块。
子弹打在木块上,木块不会飞,也不会毫发无伤。子弹刚好可以打进木块一定的深度(那这个距离S就搞定了),子弹在木块里受到的力,你说巧不巧,还真有可能是恒力F。

于是,这么一改,力F和距离S就都变得可以计算了,子弹和木块“碰撞”时损失的动能也可以算了(就是子弹打进木块时,子弹和木块的内力和打进深度的乘积)。
那么,左手动量守恒方程,右手能量守恒方程(碰撞前的动能=碰撞后的动能+损失的部分F·S),两个方程两个未知量(碰撞后的速度),剩下就是解方程,纯数学问题了。
于是,大名鼎鼎的“子弹打木块”模型就出来了。
你们看,为了能让你们用高中知识解一道题,出题人也是煞费苦心啊~
35出题与刷题
为什么我要在这里给你们剖析出题人的心路历程呢?
如果你能明白为什么“小球碰撞”模型不够用,出题人被迫拉出“子弹打木块”模型来救场,你肯定就能非常明白动量守恒、能量守恒在碰撞过程中的作用。理解了这些,你是不是甚至有点想自己出点题试试了呢?
如果你能理解这些,甚至想自己出出题试试,那基本上就可以告别题海了。

刷题的目的是什么?就是让你通过反复的练习,领悟它们背后的这种关系。如果你已经居高临下地理清了它们之间的逻辑关系,那就只要稍微做点题熟悉一下就完了。
题目是做不完的,题目的变化也是无穷无尽的。但是,所有题目背后的物理规律都是一样的,牛顿力学看待世界的眼光,处理物体运动的方法都是一样的。
我们学习物理,学习牛顿力学,就是要学习它们看待世界,处理运动问题的方法,而不是要陷入无穷无尽的题海中去。
我花如此大精力写这篇文章,当然不是就为了教你几种题目的具体解法(这种书市面上一大堆)。
我是希望能帮你把整个高中物理的内容都串起来,让你在脑海中形成一个清晰、完整的物理图像;让你知道你在分析每一道题,列每一个公式时,知道自己在干什么;让你知道高中物理虽然有定量的计算,但它的整体思想依然是非常简单的。
而且,我也相信你一旦把这体系理清楚了,把这些物理图像都想清楚了,再看到具体题目时,都会有一种“一览众山小”的感觉,觉得题目变来变去也跳不出你的手掌心。
不信的话,我就当你没接触过高中物理,你顺着这篇文章把思路仔细理一理。下一篇文章我就可以带你去看一看、想一想、做一做物理高考题~
好,关于动量的事情就讲到这里。
只要大家能从原理上搞清楚动量是怎么回事,知道动量守恒需要什么条件,知道我们这些过程都是如何推导过来的,脑海里有清晰的物理图像就行了。
当然,虽然我们这里好像是从牛顿第三定律出发“推出”了动量守恒,但这并不是说动量守恒定律就是牛顿第三定律的一个推论。
我这个给你“推导”一下,主要是想让你从力的角度对动量守恒有个清晰的图像。
其实,动量、能量远比力用得更广泛,它们在所有物理学里都是非常核心而基础的概念。而力的概念,在牛顿力学之外基本上就没怎么使用了。
动量守恒和能量守恒也是在所有物理学里都存在的,决定这些守恒律更深层的原因是时空的对称性(能量守恒对应时间平移不变性,动量守恒对应空间平移不变性)。
如果把动量和能量都搞清楚了,把动量守恒和能量守恒的条件和过程也都弄清楚了,那你就掌握了另一种看待物理世界的方法,一种不同于从力的角度看问题的方法。
放心,高中物理不会再有第三种视角了~
36两种视角
那么,在分析具体的问题时, 我们是从能量-动量的角度分析,还是从力的角度去分析呢?
一开始的时候,我建议大家两种都试试,正所谓“小孩子才做选择,大人我全都要”。

比如,还是那个自由下落的苹果。
从力的角度看,是苹果受到的合外力为重力。在重力的作用下,苹果按照牛顿第二定律F=ma产生了一个重力加速度(大小约为9.8m/s²),然后苹果以这个加速度运动。至于运动的具体细节,不过就是那5个运动物理量(V0、Vt、a、t、S)之间的数学关系。
从能量的角度看,就是苹果的重力势能转化成了动能。因为总能量是守恒的,所以,重力势能减少了多少,相应动能就会增加多少。
从动量的角度看,苹果下落时受到了一个外力(重力),所以苹果的动量是增加的。
但是,如果你把苹果和地球看作一个整体,那重力就成了苹果和地球之间的内力,那么苹果-地球组成的系统就动量守恒了。但这好像也没啥用,地球对苹果来说太大了,我们也没有无聊到想去计算一个苹果下落对地球运动造成的影响(起码等苹果有月亮那么大再说)。

同样,一个小球从光滑斜面上滚下来,你可以对它进行受力分析,利用F=ma计算它的加速度,分析它的运动情况,也可以看成是它的重力势能转化成了动能。
如果斜面不光滑,有摩擦力,那你在计算合力时就要把摩擦力考虑进去,考虑能量转化的时候也要把摩擦力做的功考虑进去。
不管这个力怎么变,从重力变成一个推力、摩擦力、电场力、弹力等等都好,上面这个思路并不会变。从力的角度来看,无非就是变换了一个力的品种,从能量的角度来看,不过就对应增加了一种能量,它们之间是一一对应的。
如果两种思路都玩熟了,你自然就知道在什么样的情况下选择什么样的思路会更简单,而不用一开始就牢记某种所谓的“简便”方法。
这种不明白大局的“简便”,往往是最复杂的。就像一个武林高手可以谈“无招胜有招”,你在新手村谈“无招胜有招”就是找死。
37物理与数学
此外,我们在分析物理过程时,要尝试把问题的物理部分和数学部分区分开。
说简单一点就是,当我从物理角度,从力或者能量-动量的角度考虑问题时,我把方程列出来就算完了,剩下解方程只是数学问题。
不过,我们心里要明确:一个方程其实就是一种限制。
一个苹果在没有任何限制的时候,它可以随便动。但是,因为它下落时要满足能量守恒,这个能量守恒就是一种限制。因为这种限制,苹果就只能那样下落。
如果我们要求的未知量只有一个,那只需要一个方程就能把未知量求出来(比如求苹果下落的末速度,能量守恒一个方程即可);如果我们要求的未知量有两个,那就需要两个方程才能把未知量都求出来(比如小球碰撞时,求两个小球的末速度,就需要从能量、动量的角度各找一个方程)。
把方程找齐了,这个物理题目就算做完了,因为解方程不属于物理过程,它有非常固定的数学解法。
所以,我希望大家在学习高中物理时,能先把整个框架,整个脉络理清楚,把物理过程的图像都看清楚。在这个基础之上,我们再去追求所谓的简便方法,各种技巧,这也是我写这篇文章的原因。

很多人一到高中就钻进各种各样的技巧和简便方法里去了,他记住了各种物理模型,知道碰到这种题应该怎么做,碰到那种题应该怎么做。但是,他无法通过这些题目建立起一个完整的力学图景来,无法让他的知识点变成知识体系。
这样,题目一变,题型一变,他就会感觉很吃力。然而,无论出题老师怎么变,在高中玩力学,都逃不出牛顿的手掌心。
这个道理,希望大家能早点明白。
38结语
长尾君本来是在写相对论的,上一篇文章还是《相对论诞生:爱因斯坦是如何创立狭义相对论的?| 主线》。按照原先的计划,我是打算等相对论-量子力学-量子场论之类的写完了再来写中学物理的。
但是,社群里有些家长的孩子已经高中了,有些快要念高中了。他们很希望我能尽快写点中学物理的东西,从更高的维度把高中物理串起来(就像之前的主线文章那样)。
还有些家长,虽然孩子还在念小学,但从小的科普书、科普视频没少看,能够定性的从大爆炸、黑洞、引力讲到电子、中子星、夸克。他们从小对科学非常感兴趣,家长也很高兴。
但是,当孩子们好像什么都能定性地说一点时,家长们反倒不知道接下来应该怎么办了。
因为很多东西定性了解起来容易,但是如果想继续深入了解,就得知道如何做定量计算。这本来是从初中物理到高中物理的转变,但由于现在获取信息变容易了,很多小学生也面临这种问题。
这也很容易让有些小学生形成一种错觉:让他们觉得物理好像也不过如此,觉得自己好像已经天上地上什么都知道了,然后开始自大……
即便中小学生看起来太费劲,或者没有机会看公众号的文章,家长们看懂之后按照这个思路也能很容易给孩子讲明白。
科学教育要从孩子抓起,只有小孩子真正理解科学,热爱科学,我们才能诞生真正的科学大师,这个道理大家都懂。

所以,我还是决定先暂停相对论的科普工作,转而写一篇帮大家理清高中物理框架,建立物理图像的文章。虽然这种文章的B格没有相对论、量子力学那么高,但是,我想应该会有更多中小学生从中受益吧。
社群里有位大佬回忆他的初中物理老师时,有句话让我印象非常深刻,他的老师说:“我先教你们什么是真正的物理,再用半年教你们如何应付考试。”
帅呆了有木有?这也是我想通过这篇文章传递给你们的一个信息。
我知道很多人进入高中以后,会开始觉得物理很枯燥、很难,觉得它既不酷又不美。
但这不是物理的错,而是你看待物理的角度错了。
我们欣赏一处风景,看一部电影,都有一个正确的打开方式。你躲在一个山洞里,当然无法欣赏“登高壮观天地间,大江茫茫去不还”的壮丽;你在电影院第一排的最角落,当然也很难很好地欣赏一部电影了。
你想想,牛顿、爱因斯坦、狄拉克这些人为什么会被物理学迷得死去活来?再想想,你学的物理跟他们学的物理并没有什么不一样啊?
所以,物理学本身是非常美的,需要改变的并不是物理本身,而是我们看待物理的眼光。

我也学过高中物理,所以很清楚许多人到了高中是如何把物理看歪了的,希望这篇文章能多多少少帮大家把角度扶正一点。
最后,高中物理并不是对初中物理和科普物理的“背叛”,而是一种深化,物理学的内核始终是一致的。能够进行定量计算的物理,就像老酒一样,越品越醇,越品越香。
希望高中的你,依然热爱物理~
相关文章:
《你也能懂的微积分》

全部 0条评论